Matematické Fórum

Nevíte-li si rady s jakýmkoliv matematickým problémem, toto místo je pro vás jako dělané.

Nástěnka
22. 8. 2021 (L) Přecházíme zpět na doménu forum.matweb.cz!
04.11.2016 (Jel.) Čtete, prosím, před vložení dotazu, děkuji!
23.10.2013 (Jel.) Zkuste před zadáním dotazu použít některý z online-nástrojů, konzultovat použití můžete v sekci CAS.

Nejste přihlášen(a). Přihlásit

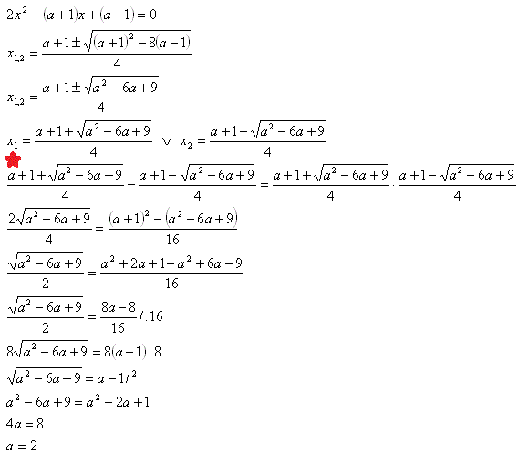
#1 23. 05. 2020 13:26

Aaron123
Zelenáč
Příspěvky: 23
Reputace:   
 

Diskuze kvadratické rovnice - úprava rovnic

Zdravím,
s řešením následujícího příkladu podle postupu na obrázku nemám problém, jen by mě zajímalo, proč když v bodě označeném hvězdičkou nahrádím výraz $\sqrt{a^2-6a+9 }$ za $\sqrt{(a-3)^2}$ a následně odmocním a pokračuji v úpravách, tak se dostanu k a-3 = a-2. Proč to nejde "uplácat" tímhle způsobem.
//forum.matweb.cz/upload3/img/2020-05/32517_d.jpg

Offline

  • (téma jako vyřešené označil(a) Aaron123)

#2 23. 05. 2020 13:33

david_svec
Příspěvky: 435
Pozice: student
Reputace:   13 
 

Re: Diskuze kvadratické rovnice - úprava rovnic

↑ Aaron123:

Zdravím,

protože $\sqrt{x^{2}}=|x|$.

Offline

 

Zápatí

Powered by PunBB
© Copyright 2002–2005 Rickard Andersson