Nevíte-li si rady s jakýmkoliv matematickým problémem, toto místo je pro vás jako dělané.
Nástěnka
❗22. 8. 2021 (L) Přecházíme zpět na doménu forum.matweb.cz!
❗04.11.2016 (Jel.) Čtete, prosím, před vložení dotazu, děkuji!
❗23.10.2013 (Jel.) Zkuste před zadáním dotazu použít některý z online-nástrojů, konzultovat použití můžete v sekci CAS.
Nejste přihlášen(a). Přihlásit
Stránky: 1
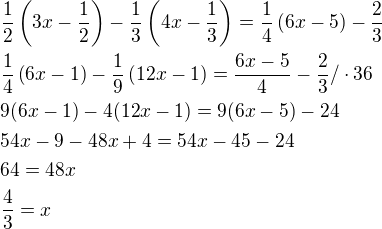
Dobrý večer, nevím si rady s těmito příklady. Vždy se zaseknu u těch velkých závorek. Tyto příklady jsem propočítal snad 100x a stále špatný výsledek. Budu moc vděčný za vaši pomoc. A pokud by se našla nějaká dobrá duše, která by napsala i postup byl bych úplně happy.
Předem děkuji... :-)
Offline
↑ Veter@n:
píšeš, že jsi podobné příklady již počítal, ale že Ti nevyšly.. myslím, že by bylo lepší napsat sem své řešení, aby ti někdo řekl, kde děláš chybu, než abys jen opsal vyřešený příkad od někoho jiného.. (mj. i kvůli Pravidla, bod 4.)
Offline
Stránky: 1