Matematické Fórum

Nevíte-li si rady s jakýmkoliv matematickým problémem, toto místo je pro vás jako dělané.

Nástěnka
22. 8. 2021 (L) Přecházíme zpět na doménu forum.matweb.cz!
04.11.2016 (Jel.) Čtete, prosím, před vložení dotazu, děkuji!
23.10.2013 (Jel.) Zkuste před zadáním dotazu použít některý z online-nástrojů, konzultovat použití můžete v sekci CAS.

Nejste přihlášen(a). Přihlásit

#1 25. 06. 2011 12:39 — Editoval da.backer (25. 06. 2011 12:47)

da.backer
Příspěvky: 1416
Reputace:   10 
 

Umělá družice (gravitační pole) (8)

ZDravím,

POtřeboval bych pokud by byl někdo tak laskav a zkontroloval tento příklad, popř. opravil.

Velice děkuji :)

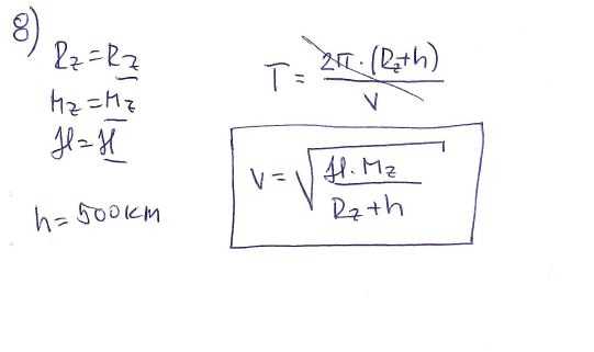
8)    Jakou vodorovnou rychlost v je třeba udělit tělesu které se nachází ve výšce h=500km na zemským povrchem aby se začalo pohybovat jako umělá družice Země po kruhové dráze ?  Známe kapa,Rz,Mz

http://forum.matweb.cz/upload3/img/2011-06/98363_08.JPG

Offline

  • (téma jako vyřešené označil(a) da.backer)

#2 25. 06. 2011 17:45

o.neill
Místo: Nymburk
Příspěvky: 327
Škola: FJFI ČVUT
Pozice: student
Reputace:   24 
 

Re: Umělá družice (gravitační pole) (8)

V sešitě mám vzoreček stejnej, takže to bude asi správně.

Offline

 

#3 26. 06. 2011 15:27

da.backer
Příspěvky: 1416
Reputace:   10 
 

Re: Umělá družice (gravitační pole) (8)

↑ o.neill:

Bych to potřeboval vědět určitě. Ale děkuji.

Offline

 

#4 26. 06. 2011 18:26

zdenek1
Administrátor
Místo: Poděbrady
Příspěvky: 12436
Reputace:   897 
Web
 

Re: Umělá družice (gravitační pole) (8)

↑ da.backer:
ANo, vzorec je správně.


Pořádek je pro blbce, inteligent zvládá chaos!

Offline

 

Zápatí

Powered by PunBB
© Copyright 2002–2005 Rickard Andersson