Nevíte-li si rady s jakýmkoliv matematickým problémem, toto místo je pro vás jako dělané.
Nástěnka
❗22. 8. 2021 (L) Přecházíme zpět na doménu forum.matweb.cz!
❗04.11.2016 (Jel.) Čtete, prosím, před vložení dotazu, děkuji!
❗23.10.2013 (Jel.) Zkuste před zadáním dotazu použít některý z online-nástrojů, konzultovat použití můžete v sekci CAS.
Nejste přihlášen(a). Přihlásit
Zdravím,
Omlouvám se za tolik témat doufám, že to nevadí :(
Nicméně bych potřeboval zkouknout tento příklad.
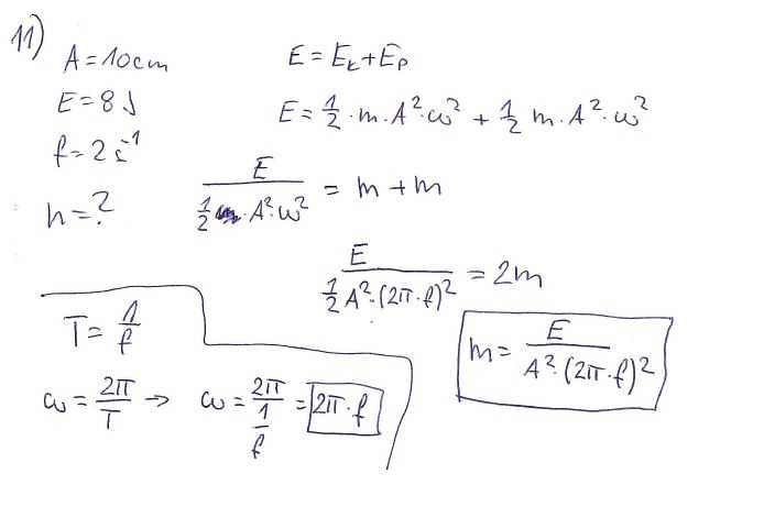
11) Těleso koná harmonický kmitavý pohyb, jehož maximální výchylka A=10cm, Energie kmitající soustavy E=8J, frekvence kmitového pohybu f=2s^-1 Určete hmotnost tělesa.-
Opravdu velice děkuji.
Offline
↑ da.backer:
Když má těleso maximální kinetickou energii (při tomto druhu pohybu), tak má nulovou potenciální energii. Takže
celková mechanická energii = maximální kinetická energii.

Offline