Matematické Fórum

Nevíte-li si rady s jakýmkoliv matematickým problémem, toto místo je pro vás jako dělané.

Nástěnka
22. 8. 2021 (L) Přecházíme zpět na doménu forum.matweb.cz!
04.11.2016 (Jel.) Čtete, prosím, před vložení dotazu, děkuji!
23.10.2013 (Jel.) Zkuste před zadáním dotazu použít některý z online-nástrojů, konzultovat použití můžete v sekci CAS.

Nejste přihlášen(a). Přihlásit

#1 21. 12. 2011 16:18

Deny77
Příspěvky: 43
Reputace:   
 

Neurčitý integrál

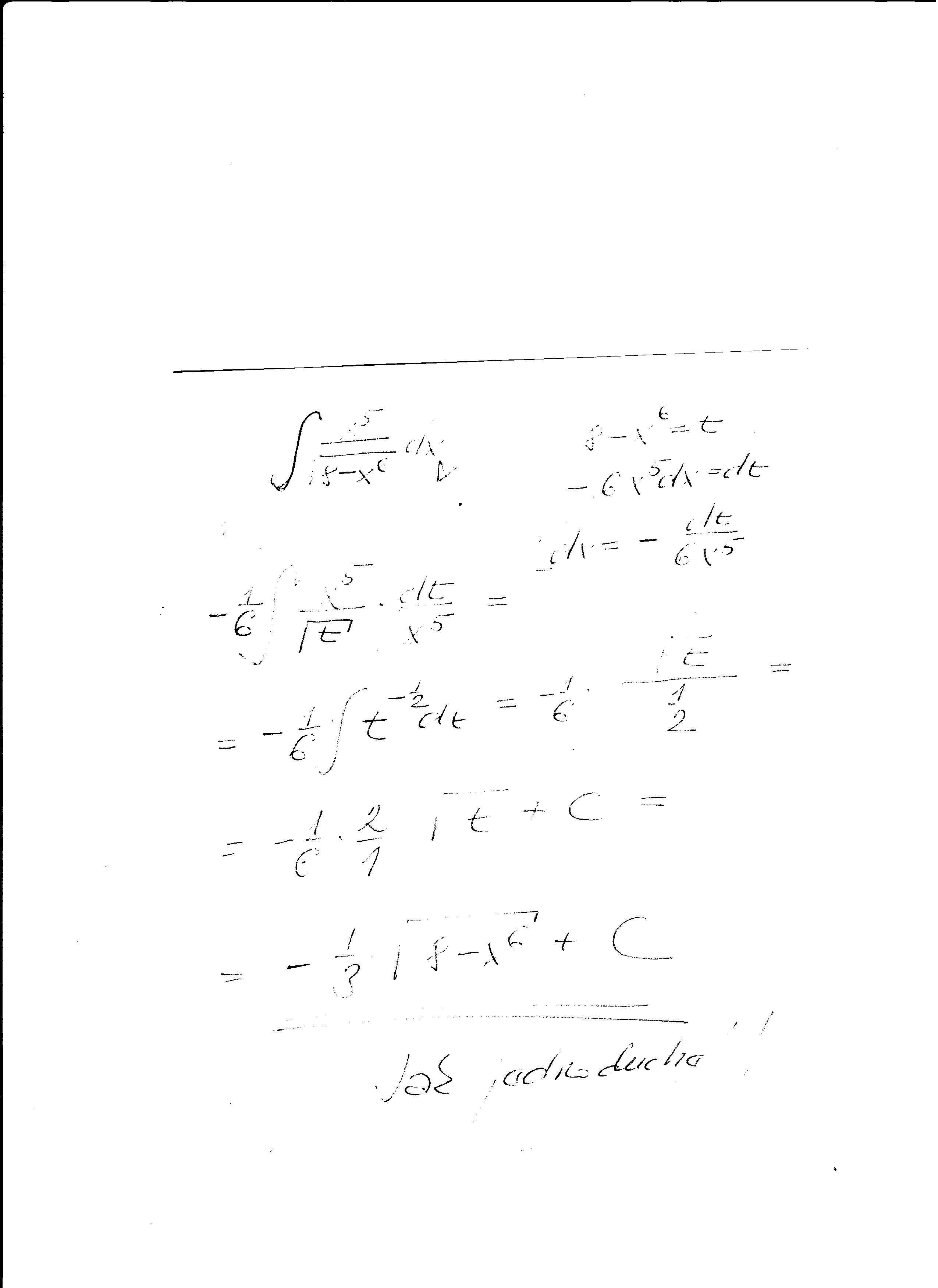
Ahoj, pomohl byste mi někdo se substitucí v tomhle příkladě, prosíím :($\int_{}^{}\frac{x^{5}}{\sqrt{8-x^{6}}}dx= $ Vím zatím jen:$t=\sqrt{8-x^{6}}, t^{2}=8-x^{6}, t^{2}+1=9-x^{6}$ poradíte někdo jak mám vypadat to tdt?

Offline

  • (téma jako vyřešené označil(a) jelena)

#2 21. 12. 2011 16:45

standyk
Místo: SR
Příspěvky: 770
Škola: UMB BB
Pozice: študent
Reputace:   55 
 

Re: Neurčitý integrál

↑ Deny77:

skús urobiť substitúciu iba s tým, čo je pod odmocninou, čiže: $t=8-x^6$

Offline

 

#3 23. 12. 2011 13:14

Deny77
Příspěvky: 43
Reputace:   
 

Re: Neurčitý integrál

↑ standyk: Ale já myslela, že $t=\sqrt{8-x^{6}}$ a $t^{2}=8-x^{6}$ a $t^{2}+1=9-x^{6}$

Offline

 

#4 23. 12. 2011 13:37

stenly
Příspěvky: 1435
Škola: ČVUT Brno
Pozice: Lektor v oboru matematika-fyzika
Reputace:   15 
 

Re: Neurčitý integrál


Matematika je způsob,jak zviditelnit neviditelné!!

Offline

 

#5 23. 12. 2011 13:43

Rumburak
Místo: Praha
Příspěvky: 8691
Reputace:   502 
 

Re: Neurčitý integrál

↑ Deny77:

A proč považuješ za nutné počítat  t dt    ?
Standardním postupem by zde naopak bylo spočítat  dx =  x'(t) dt   , kde  x = x(t)  je provedená substituce. Ve Tvém případě tedy x(t) vypočítáme z rovnice

                                                                $t=\sqrt{8-x^{6}(t)}$ .

Pokud na této substituci trváš, pak je to samozřejmě Tvoje věc :-),  kolega ↑ standyk: Ti chtěl nabídnout substituci šikovnější.

Offline

 

#6 23. 12. 2011 14:30 — Editoval Deny77 (23. 12. 2011 14:31)

Deny77
Příspěvky: 43
Reputace:   
 

Re: Neurčitý integrál

↑ Rumburak: Děkuju Vám hrozně moc za pomoc, na tý mojí substituci vůbec netrvám, jen mě napadla víš :) A ještě se prosím zeptám, co je před tím dx u tý substituce hned na začátku nahoře $dx=-\frac{dt}{6x^{5}}$ prosííím

Offline

 

#7 25. 12. 2011 20:47

Crusad
Příspěvky: 74
Reputace:   
 

Re: Neurčitý integrál

Derivuješ a upravuješ - subsituce je $t=8-x^6$, takže z toho po derivaci je $dt=-6x^5 dx$ a pak je jen vydělené tím $-6x^5$, takže $dx=-\frac{dt}{6x^{5}}$ - před dx není nic.

Offline

 

#8 29. 12. 2011 12:09

Deny77
Příspěvky: 43
Reputace:   
 

Re: Neurčitý integrál

↑ Crusad: Děkuju moc, to jsem chtěla vědět :)

Offline

 

Zápatí

Powered by PunBB
© Copyright 2002–2005 Rickard Andersson