Matematické Fórum

Nevíte-li si rady s jakýmkoliv matematickým problémem, toto místo je pro vás jako dělané.

Nástěnka
22. 8. 2021 (L) Přecházíme zpět na doménu forum.matweb.cz!
04.11.2016 (Jel.) Čtete, prosím, před vložení dotazu, děkuji!
23.10.2013 (Jel.) Zkuste před zadáním dotazu použít některý z online-nástrojů, konzultovat použití můžete v sekci CAS.

Nejste přihlášen(a). Přihlásit

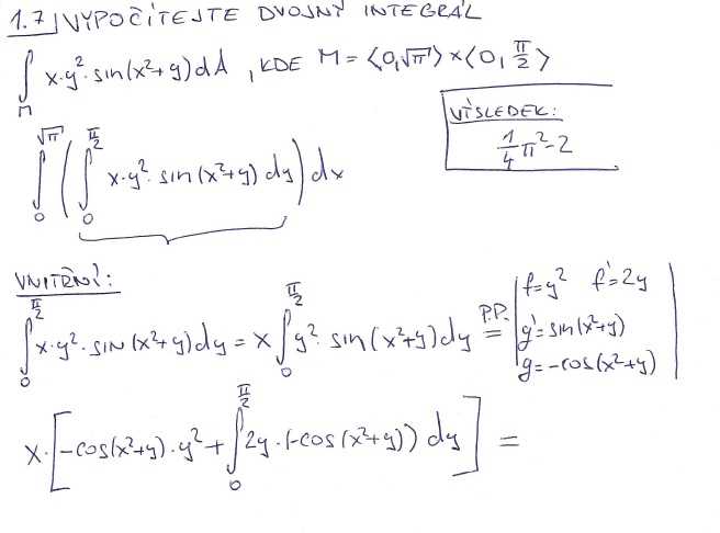
#1 05. 01. 2012 14:53

da.backer
Příspěvky: 1416
Reputace:   10 
 

Dvojnásobný integrál

Zdravím,

Byl by někdo ochotný a poradil ?
Nevím jak bych měl přesně tady postupovat, jak se mi teď dostalo "y" před integrál tak je to trochu problém ne ?


Děkuji :)

http://forum.matweb.cz/upload3/img/2012-01/71629_0125.jpg

Offline

  • (téma jako vyřešené označil(a) da.backer)

#2 05. 01. 2012 15:04 — Editoval Rumburak (06. 01. 2012 13:39)

Rumburak
Místo: Praha
Příspěvky: 8691
Reputace:   502 
 

Re: Dvojnásobný integrál

Zdravím rovněž.
K chybě došlo při použití metody integrace per partes. Ta metoda má dvě verse - jednu pro neurčitý integrál a druhou pro určitý integrál.
V Tvém výpočtu jsou obě verse jaksi promíchány, což je právě ta chyba.  Správný tvar vzorce pro určitý integrál je

                   $\int_a^b f'(t)g(t)\,\mathrm{d}t  = [f(t)g(t)]_a^b -\int_a^b f(t)g'(t) \,\mathrm{d}t$ ,

kde $ [h(t)]_a^b = \lim_{t \to b-} h(t)  - \lim_{t \to a+} h(t) $ ,  pokud pravá strana této rovnosti má smysl (obdobně když $a = -\infty$ nebo $b = +\infty$).

Offline

 

#3 05. 01. 2012 19:42

da.backer
Příspěvky: 1416
Reputace:   10 
 

Re: Dvojnásobný integrál

↑ Rumburak:



Velice děkuji, neintegroval jsem hrozně dlouho tak jsem na to úplně zapoměl :)

Offline

 

Zápatí

Powered by PunBB
© Copyright 2002–2005 Rickard Andersson