Nevíte-li si rady s jakýmkoliv matematickým problémem, toto místo je pro vás jako dělané.
Nástěnka
❗22. 8. 2021 (L) Přecházíme zpět na doménu forum.matweb.cz!
❗04.11.2016 (Jel.) Čtete, prosím, před vložení dotazu, děkuji!
❗23.10.2013 (Jel.) Zkuste před zadáním dotazu použít některý z online-nástrojů, konzultovat použití můžete v sekci CAS.
Nejste přihlášen(a). Přihlásit
Zdravím,
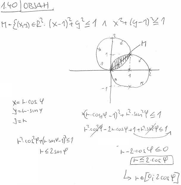
POtřeboval bych poradit jak tady určím omezení na "Fí" tady to již chápu ale jak to udělat tady to mi není jasné.
Jediné co mě napadá je dle obrázky ho určit od
do
a výsledek vynásobit 2.
Děkuji.
Offline
↑ da.backer:
keď sa pozrieš na funkcie ktoré popisujú hranice tvojej oblasti, teda
pre krivku hornej hranice a
pre krivku dolnej hranice
a nájdeš ich jednostranné derivácie v bode
, tak uhol bude ležať v intervale
,
kde
je uhol ktorý zviera dotyčnica ku grafu funkcie popisujúcej dolnú hranicu (teda
) s osou
a
je uhol ktorý zviera dotyčnica ku grafu funkcie popisujúcej hornú hranicu (teda
) s osou 
(myslím dotyčnicu v bode 0)
Offline
↑ jardofpr:
Proto si vždy kreslím obrázek abych to měl rychleji.
Je to od 0 do pí/2 ?
Podle toho grafu by to tak být mělo a dle těch derivací také ne ?
Offline
↑ da.backer:
tak, tak,
nad týmto sa dá dumať aj bez výpočtov lebo to nie je nejaká komplikovaná množina,
ten postup som uviedol kvôli tomu keby si narazil na niečo neprehľadnejšie ;-)
Offline
Prosím Vás nemohli byste sem hodit postup řešení nemohu na to ani podle toho návodu přijít, protože ve skriptech to máme řeštim pomocí integrálů bez pomocí derivací :P takže mi zde uvedený postup nedává smysl
Offline
↑ fekalnik:
Zdravím, nalezeno při úklidu - má se to řešit pomocí integrálu, postup kolegy je zaměřen na ujasnění převodu do polárních souřadnic ↑ da.backer:.
bez pomocí derivací :P takže mi zde uvedený postup nedává smysl
kolega ↑ jardofpr: uvedl postup pro zjištění mezí pro úhel
(za použití derivací), pokud to určuješ z obrázku, tak samozřejmě také můžeš. Stačí tak? Děkuji.
Offline