Matematické Fórum

Nevíte-li si rady s jakýmkoliv matematickým problémem, toto místo je pro vás jako dělané.

Nástěnka
22. 8. 2021 (L) Přecházíme zpět na doménu forum.matweb.cz!
04.11.2016 (Jel.) Čtete, prosím, před vložení dotazu, děkuji!
23.10.2013 (Jel.) Zkuste před zadáním dotazu použít některý z online-nástrojů, konzultovat použití můžete v sekci CAS.

Nejste přihlášen(a). Přihlásit

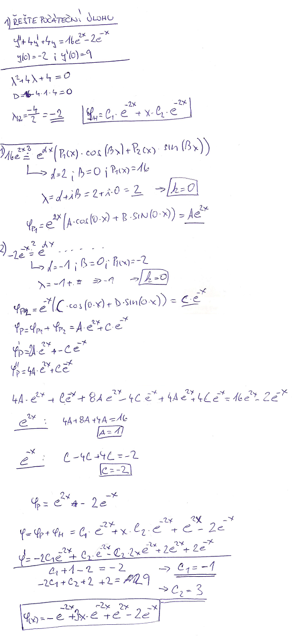
#1 10. 01. 2012 18:44 — Editoval da.backer (14. 01. 2012 12:09)

da.backer
Příspěvky: 1416
Reputace:   10 
 

Počáteční úloha - pouze kontrola postupu

Zdravím,

Byl by někdo té ochoty a zkontroloval jestli to mám správně ? Velice děkuji.

http://forum.matweb.cz/upload3/img/2012-01/17486_3_01.png

Offline

  • (téma jako vyřešené označil(a) da.backer)

#2 10. 01. 2012 22:59

Alivendes
Příspěvky: 1845
Reputace:   58 
 

Re: Počáteční úloha - pouze kontrola postupu

↑ da.backer:

Ahoj, proč je tam na začátku to x ?


Volané číslo je imaginární. Otočte prosím telefon o 90 stupňů a zkuste to znovu.

Offline

 

#3 10. 01. 2012 23:23

Alkac
Příspěvky: 181
Reputace:   10 
 

Re: Počáteční úloha - pouze kontrola postupu

Myslis tesne po vyreseni ty kvadraticky rovnice? No protoze ma dvojnasobnej koren...

Offline

 

#4 10. 01. 2012 23:30

Alivendes
Příspěvky: 1845
Reputace:   58 
 

Re: Počáteční úloha - pouze kontrola postupu

↑ Alkac:

Díky, tedy pokud se tomu chceš věnovat v těchto pozdních hodinách, hodně štěstí :-)


Volané číslo je imaginární. Otočte prosím telefon o 90 stupňů a zkuste to znovu.

Offline

 

#5 14. 01. 2012 10:48 — Editoval da.backer (14. 01. 2012 10:49)

da.backer
Příspěvky: 1416
Reputace:   10 
 

Re: Počáteční úloha - pouze kontrola postupu

Byl by někdo tak laskav ? :) Vím, že je tento typ úlohy hrozná rutina.

Offline

 

Zápatí

Powered by PunBB
© Copyright 2002–2005 Rickard Andersson