Nevíte-li si rady s jakýmkoliv matematickým problémem, toto místo je pro vás jako dělané.
Nástěnka
❗22. 8. 2021 (L) Přecházíme zpět na doménu forum.matweb.cz!
❗04.11.2016 (Jel.) Čtete, prosím, před vložení dotazu, děkuji!
❗23.10.2013 (Jel.) Zkuste před zadáním dotazu použít některý z online-nástrojů, konzultovat použití můžete v sekci CAS.
Nejste přihlášen(a). Přihlásit
Stránky: 1
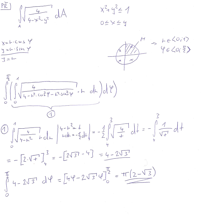
↑ jardofpr:
Dle obrázku sem dával tak jak to je ale ted koukám, že v podmínce to mělo být asi od 
Offline
↑ da.backer:
ešte že som tú blbosť stihol zeditovať :D
má to byť 0, pi/4 pravdepodobne
Offline
↑ jardofpr:
Aha ale takže mám špatně nakreslenej obr. ?
To jsem ale vůl stálo mě to u zkoušky cenné body :D
Offline
↑ da.backer:
no ak sú podmienky
a
tak áno, máš zlý obrázok :)
Offline
↑ jardofpr:
Jak se vloží do WA aby mi to vykreslilo ? Díky moc za rychlost :)
Offline
↑ da.backer:
To je sice pravda, ale ta nerovnost cos teď napsal je jiná, než v zadání. Přehodils x a y.
Offline
Stránky: 1