Matematické Fórum

Nevíte-li si rady s jakýmkoliv matematickým problémem, toto místo je pro vás jako dělané.

Nástěnka
22. 8. 2021 (L) Přecházíme zpět na doménu forum.matweb.cz!
04.11.2016 (Jel.) Čtete, prosím, před vložení dotazu, děkuji!
23.10.2013 (Jel.) Zkuste před zadáním dotazu použít některý z online-nástrojů, konzultovat použití můžete v sekci CAS.

Nejste přihlášen(a). Přihlásit

#1 29. 01. 2013 23:13

Lukinesko
Příspěvky: 371
Reputace:   
 

Limita

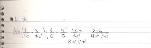
Ako to mam riesit s LH ci sa tam da spravit eulerovo cislo ? a jak pokraocovathttp://forum.matweb.cz/upload3/img/2013-01/97605_1.jpg

Offline

  • (téma jako vyřešené označil(a) Lukinesko)

#2 29. 01. 2013 23:33 — Editoval Wellcosh (29. 01. 2013 23:51)

Wellcosh
Příspěvky: 251
Škola: MFF
Pozice: student
Reputace:   28 
 

Re: Limita

Poslední výraz má tvar:
${-1 \over 0}$
takže limita neexistuje. Konkrétně limita zprava je $+\infty$ a zleva je $-\infty$


Bůh řekl:
∇×H = j + ∂D/∂t        ∇⋅D = ρ
∇×E = -∂B/∂t            ∇⋅B = 0
A bylo světlo.

Offline

 

#3 29. 01. 2013 23:37

JohnPeca18
Příspěvky: 651
Škola: MFF UK
Pozice: Absolvent 2014
Reputace:   81 
 

Re: Limita

nie, no tak tam uz neni co robit, dole ti vychadza 0, takze to ide do nekonecna. Len sa treba zamysliet nad znamienkami. Ked to pojde k 1 zlava, tak to vychadza -nekonecno a ked k 1 zprava tak to je + nekonecno. Vidis to v tom?

Offline

 

#4 29. 01. 2013 23:40

JohnPeca18
Příspěvky: 651
Škola: MFF UK
Pozice: Absolvent 2014
Reputace:   81 
 

Re: Limita

↑ Wellcosh:
si si jistý? Mne to prijde naopak, ale taky jsem se nejdriv pomylil.

Offline

 

#5 29. 01. 2013 23:47

Lukinesko
Příspěvky: 371
Reputace:   
 

Re: Limita

cize vysledok je taky z prava -1/-nekonecno a zlava -1/ +nekonecno

Offline

 

#6 29. 01. 2013 23:52 — Editoval Wellcosh (29. 01. 2013 23:53)

Wellcosh
Příspěvky: 251
Škola: MFF
Pozice: student
Reputace:   28 
 

Re: Limita

↑ Lukinesko: Pardon, napsal jsem to totálně špatně. Limita -1/nekonečno by samozřejmě existovala (=0).
Teď už by to mělo být správně.


Bůh řekl:
∇×H = j + ∂D/∂t        ∇⋅D = ρ
∇×E = -∂B/∂t            ∇⋅B = 0
A bylo světlo.

Offline

 

Zápatí

Powered by PunBB
© Copyright 2002–2005 Rickard Andersson