Nevíte-li si rady s jakýmkoliv matematickým problémem, toto místo je pro vás jako dělané.
Nástěnka
❗22. 8. 2021 (L) Přecházíme zpět na doménu forum.matweb.cz!
❗04.11.2016 (Jel.) Čtete, prosím, před vložení dotazu, děkuji!
❗23.10.2013 (Jel.) Zkuste před zadáním dotazu použít některý z online-nástrojů, konzultovat použití můžete v sekci CAS.
Nejste přihlášen(a). Přihlásit

↑ Ondra777: Druhý je dobre, prvý odporúčam upraviť na
a použiť tabuľkovú limitu.
Offline
Dobrý nám radost, že aspoň něco jsem spočítal dobře.... :-) na ten druhý se pokusím přijít. Chtěl bych Vás poprosti jestli nevíte o nějaké sbírce na internetu, kde se dají počítat limity. (Nejlíp i s řešením, protože dost často se mi stává, že vypočítám něco a nejsem si jistý, jestli je to dobře).
Offline

↑ Ondra777: Môžeš mi tykať :D momentálne mi nenapadá žiadna zbierka, ale môžem niečo pohľadať... potom sa ozvi, ako si dopadol s druhým príkladom. :)
Offline
↑ Blackflower: super :-) díky ;) už počítám ten druhý příklad. Ten třetí odkaz nejsou to limity posloupnosti?
Offline

↑ Ondra777: Asi skôr áno, ale tieto spôsoby sa dajú používať aj pri limitách, kde x ide do nekonečna.
Offline

Offline
↑ Blackflower: došel jsem k druhému řákdu, ten první jestli to dobře chápu, tak se umocní a umocněmé číslo se přičte :-)
Offline

↑ Ondra777: Napíš výraz, po ktorý si sa dostal. Z tvojho popisu som to nepochopila, prepáč...
Offline
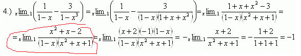
↑ Ondra777:
Aká "dvojka" sa odstránila?
Ide o obyčajné sčitovanie zlomkov.
A Ty to máš teraz obrátene:
Ten čitateľ
sa rozpíše tak, aby sa s menovateľom zjednodušil na celé číslo bez premennej, takže miesto
sa napíše
, lebo menovateľ je
...
Offline

↑ Ondra777: Aha... keď máš v zlomku v čitateli súčet, tak tento zlomok môžeš rozložiť na koľko zlomkov chceš s tým, že menovateľ bude rovnaký.
Napríklad: 
Ty si môžeš tie súčty "nakombinovať" tak, ako sa ti to hodí. Keď sa na to pozrieš spätne a išiel by si to upraviť na jeden zlomok so spoločným menovateľom, vyšlo by ti to isté ako pôvodne.
Napríklad: 
Je to lepšie vidno?
Offline
↑ Blackflower: aha... jasný :-) ještě bych se chtěl zeptat nahlídnoul jsem do té sbírky příkladů a nevím si rady s tímto příkladem. 
Offline

↑ Ondra777: Mohli by sme najprv doriešiť ten pôvodný, nie? :) Nedajú sa dve veci naraz robiť poriadne...
Offline

↑ Ondra777: To je pravda, ale myslím si, že keď sme už začali riešiť jeden, tak by sme ho mohli doklepnúť. Ja ti rada pomôžem aj s tým druhým.
Offline
↑ Blackflower: OK, přemýšlím jak dál pokračovat když jsem dostal takový tvar :-) Nebude tam něco a tím (1+x)^x ?
Offline

Offline
↑ Blackflower: nejsem si jestý, jestli dokáže tento příklad spočítat... nevím co dál
Offline

↑ Ondra777: Máme limitu v tvare
. Aby sme dostali to, čo potrebujeme, tak treba exponent prenásobiť špeciálnou jednotkou
. Čiže nám vznikne
a to sa rovná
. V našom prípade
,
.
Môže byť?
Offline
↑ Blackflower: omlouvám se počítal jsem dál z té internetové sbírky. Jestli to nebude vadit, tak já budu počítat dál, protože tohle mě příjde zatím docela těžký. Děkuji Ti moc za pomoc :-)
Offline