Nevíte-li si rady s jakýmkoliv matematickým problémem, toto místo je pro vás jako dělané.
Nástěnka
❗22. 8. 2021 (L) Přecházíme zpět na doménu forum.matweb.cz!
❗04.11.2016 (Jel.) Čtete, prosím, před vložení dotazu, děkuji!
❗23.10.2013 (Jel.) Zkuste před zadáním dotazu použít některý z online-nástrojů, konzultovat použití můžete v sekci CAS.
Nejste přihlášen(a). Přihlásit

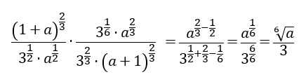
Zdravím, neviem prísť nato ako sa postupovalo pri tomto príklade, chápem že sa najprv pokrátili tie zátvorky a rozumiem ako sa vypočítalo
no pri počítaní tej trojky by som postupoval takto
, prečo sa tu postupovalo takto? za objasneni vopred ďakujem
Offline
↑ crank139:
Nie sú.
Rozdiel je v tom znamienku exponentu, naštuduj si mocniny. 
Miesto zlomku možno písať zápornú mocninu menovateľa.
Offline