Nevíte-li si rady s jakýmkoliv matematickým problémem, toto místo je pro vás jako dělané.
Nástěnka
❗22. 8. 2021 (L) Přecházíme zpět na doménu forum.matweb.cz!
❗04.11.2016 (Jel.) Čtete, prosím, před vložení dotazu, děkuji!
❗23.10.2013 (Jel.) Zkuste před zadáním dotazu použít některý z online-nástrojů, konzultovat použití můžete v sekci CAS.
Nejste přihlášen(a). Přihlásit
Ahoj,
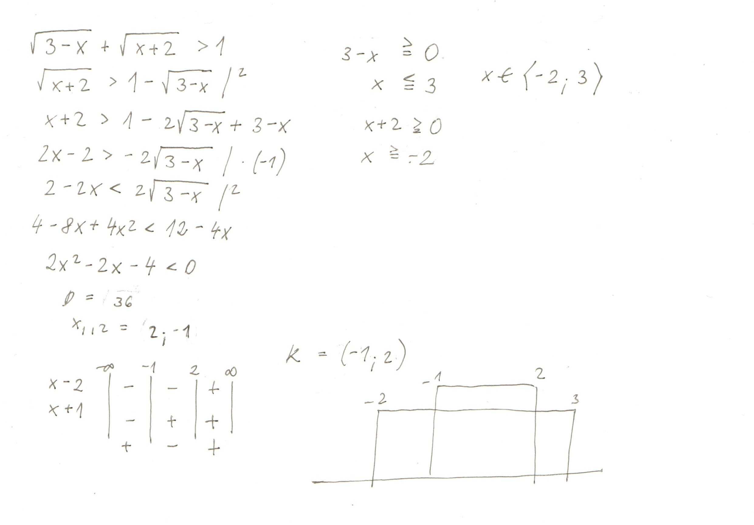
já bych při tomto dával docela pozor.
Uvědom si, že nerovnice:
má obě strany jednoznačně kladné.
Když ji umocníme, nepříjdeme ani si nevytvoříme žádný nový interval řešení, proto bych jí umocnil již v tomto tvaru:
Dostáváš:

Z definice odmocniny, je jasné, že výraz nalevo bude kladný pro každé x pro které je definován.
Takže stačí pouze vyřešit kdy bude výraz pod odmocninou větší než nula.
Offline
Ahoj.
↑ Freedy: nabízí rychlé řešení, já jen doplním, že ve tvém postupu jsou 2 chyby - při druhém a třetím mocnění, protože jsi neuvážil, že strana bez odmocniny může být záporná, a tím pádem automaticky menší než strana s odmocninou.
Offline