Nevíte-li si rady s jakýmkoliv matematickým problémem, toto místo je pro vás jako dělané.
Nástěnka
❗22. 8. 2021 (L) Přecházíme zpět na doménu forum.matweb.cz!
❗04.11.2016 (Jel.) Čtete, prosím, před vložení dotazu, děkuji!
❗23.10.2013 (Jel.) Zkuste před zadáním dotazu použít některý z online-nástrojů, konzultovat použití můžete v sekci CAS.
Nejste přihlášen(a). Přihlásit
Ahoj, potreboval by som radu s tymto prikladom
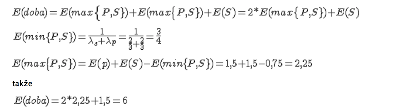
V intenetovém obchodu si kupujou zákazníci zboží dle poissonova processu s intenzitou lambda=12 za minutu. 20% z nich se rozhodne, že si zboží vyzvednou ve firemním pobočce. Ta obsahuje pokladnu a sklad. Zákazník, který přijde musí nejdříve na pokladnu a pak do skladu. Oba mají exponencielní rozdělení se střední hodnotou 1,5 minuty. Obě rozdělení jsou nezávislá.
a)Popište proces příchodů zákazníků do skladu internetového obchodu.
b)Určete rozdělení celkové doby obsluhy u pokladny a čekání na zboží.
c)Když Čeněk přišel, tak Bety byla na pokladně a Alice u skladu. Jaká je pravděpodobnost, že Alice bude ještě čekat déle, než 3 minuty
d)Střední doba, než se Čeněk dostane ven z obchodu
Acko mi je jasne, to je 12*0.2
Becko mi uz ale jasne nie je, vysledok je 2/3, a to za svet nemozem prist na to, ako k tomu dosli
Cecko podobne nadvazuje na B, kedze exp rozdelenie nema pamat, tak je jedno kedy prisla a vypocitame to ako funkciu prezitia teda : P(T>3) = e^(-lambda*t) = e^(-2/3*3) = e^-2
Tu sa mi kladie otazka, viem to takto spocitat? Netreba to upravit na 1-P(T<=2) resp 1-P(T=2)+P(T=1)+P(T=0)?
No a pri Decku mam tiez take mensie nezrovnalosti
Postupu rozumiem, len tie hodnoty sa mi zdaju divne raz tam je za lambdu dosadenych 1.5 min (konkretne Ep a Es, co sa mi zda spravne), a potom v EminPS su tie 2/3, to sa mi nezda. Nemalo by tam byt tiez tych 1.5min?
Dakujem velmi pekne.
Offline