Nevíte-li si rady s jakýmkoliv matematickým problémem, toto místo je pro vás jako dělané.
Nástěnka
❗22. 8. 2021 (L) Přecházíme zpět na doménu forum.matweb.cz!
❗04.11.2016 (Jel.) Čtete, prosím, před vložení dotazu, děkuji!
❗23.10.2013 (Jel.) Zkuste před zadáním dotazu použít některý z online-nástrojů, konzultovat použití můžete v sekci CAS.
Nejste přihlášen(a). Přihlásit
Ahoj,
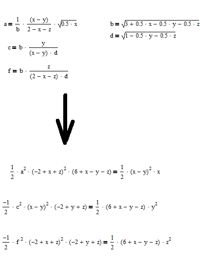
mám zadaný úkol z chemie, který se týká rovnováhy v systému o více složkách, ve kterém probíhají tři nezávislé reakce. Postupně vše vyústilo v řešení soustavy tří nelineárních rovnic o třech neznámých:![kopírovat do textarea $1,09905 = (\frac{1}{\sqrt{3+0,5x-0,5y-0,5z}})\cdot [\frac{(x-y)\cdot \sqrt{0,5x}}{(2-x-z)}]$](/mathtex/77/773a860264e01cabe855b2010307ebe1.gif)
![kopírovat do textarea $0,27306 = (\sqrt{3+0,5x-0,5y-0,5z})\cdot [\frac{y}{(x-y)\cdot \sqrt{1-0,5y-0,5z}}]$](/mathtex/f0/f02640df3b3e061f06cc2986856fce15.gif)
![kopírovat do textarea $0,002023= (\sqrt{3+0,5x-0,5y-0,5z})\cdot [\frac{z}{(2-x-z)\cdot \sqrt{1-0,5y-0,5z}}]$](/mathtex/b4/b4d815ecd343199e92ccd7d0c2e716bb.gif)
x, y, z jsou stupně přeměny, takže by měli být v rozmezí 0 až 1, x by mělo být větší než y.
Zkoušel jsem to v tom, v čem jako nijak zvlášť zkušený matematik umím pracovat, tzn. excel a wolframalpha, jenže v excelu mi vycházeli nesmysly a na wolfram to bylo moc dlouhé.
Chtěl bych požádat někoho, kdo tady umí s Maple, jestli by nebyl ochotný tam ty rovnice zadat a zkusit to spočítat, protože já už nevím co s tím. Nemůžu vyloučit, že to nebude vůbec vycházet, buď jsem někde na cestě k těm rovnicím mohl udělat chybu nebo může být chyba i v zadání. Profesor ho totiž na koleně upravoval po tom, co jsem v něm objevil chybu. Byl by tady někdo tak hodnej? Snad to nezabere moc času... Díky.
Offline
Zkus rovnice umocnit na druhou a napiš, jak to šlo dál. :)
Offline
↑ KennyMcCormick: Teď se přiznám, že úplně nechápu smysl toho kroku. Co s tím mám dál udělat po umocnění na druhou? Zkusit to zase v excelu?
Offline
Skús to hodiť do Geogebry
Offline
↑ Svářeč:toto mi už wolfram zbaštil, ale výsledok želaný tam nie je :-(
solve 1.2079109*(-2+x+z)^2*(6+x-y-z)=(x-y)^2*x, -0.07456176*(x-y)^2*(-2+y+z)=(6+x-y-z)*y^2 , -4.092529*10^-6*(-2+x+z)^2*(-2+y+z)=(6+x-y-z)*z^2
umocnil som to ako navrhol kolega Kenny a predtým odstránil zlomky...skús zopaknuť či dostaneš to isté ( 0.5 som nahradil 1/2)
Offline