Matematické Fórum

Nevíte-li si rady s jakýmkoliv matematickým problémem, toto místo je pro vás jako dělané.

Nástěnka
22. 8. 2021 (L) Přecházíme zpět na doménu forum.matweb.cz!
04.11.2016 (Jel.) Čtete, prosím, před vložení dotazu, děkuji!
23.10.2013 (Jel.) Zkuste před zadáním dotazu použít některý z online-nástrojů, konzultovat použití můžete v sekci CAS.

Nejste přihlášen(a). Přihlásit

  • Hlavní strana
  • » Fyzika
  • » Pružnost, pevnost - tah - rozdíl teplot (10) - nové (TOTO TÉMA JE VYŘEŠENÉ)

#1 21. 06. 2011 19:41 — Editoval da.backer (26. 06. 2011 15:28)

da.backer
Příspěvky: 1416
Reputace:   10 
 

Pružnost, pevnost - tah - rozdíl teplot (10) - nové

Zdravím,

Mám příklad:

Na obou koncích pevně upevněná tyč z oceli je při teplotě $20^{\circ}C$  v nenapjatém stavu. Určete o kolik stoupne její teplota pokud bude napětí $230MPa$ a modul přužnosti $2,2*10^{11}$ Pa a součinitel teplotní roztažnosti $\alpha=1,2*10^{-5}K^{-1}$

Stačí nějak navést. Děkuji mnohokrát.



$\rho=E\cdot\varepsilon$
$230=2,2\cdot10^{11}\cdot\varepsilon$
$\varepsilon=\frac{230}{2,2\cdot10^{11}}$
$\frac{230}{2,2\cdot10^{11}}=1,2*10^{-5}\cdot\Delta t$
vyjádřil jsem $\Delta t$ a z toho rozdíl teplot a měl jsem to špatně, bohužel to bylo v testu takže to nemám tady přesně.
$\varepsilon=\alpha\cdot\Delta t$
$\Delta t=t-t0$

jdu na to asi špatně. Děkuji za rady.

Offline

  • (téma jako vyřešené označil(a) da.backer)

#2 21. 06. 2011 20:20

FliegenderZirkus
Příspěvky: 544
Škola: RWTH Aachen
Reputace:   25 
 

Re: Pružnost, pevnost - tah - rozdíl teplot (10) - nové

↑ da.backer:

Tady máš v čitateli MPa a ve jmenovateli Pa:
$\varepsilon=\frac{230}{2,2\cdot10^{11}}$
Jednotky musejí souhlasit..

Offline

 

#3 21. 06. 2011 20:35

da.backer
Příspěvky: 1416
Reputace:   10 
 

Re: Pružnost, pevnost - tah - rozdíl teplot (10) - nové

↑ FliegenderZirkus:

děkuji jsem zapoměl, v testu jsem to měl vše v MPa ale něco se nezdálo a nevím co.

Budu rád za dovyřešení př.

Offline

 

#4 21. 06. 2011 22:17

zdenek1
Administrátor
Místo: Poděbrady
Příspěvky: 12436
Reputace:   897 
Web
 

Re: Pružnost, pevnost - tah - rozdíl teplot (10) - nové

↑ da.backer:
$\Delta l=\frac{l_0}E\sigma$
$\Delta l=l_0\alpha\Delta t$
z toho
$\frac{\sigma}E=\alpha\Delta t$

a $\Delta t$ snad už vyjádříš.


OT to je hroznej zlozvyk dělat číselné mezivýpočty. Zkus se toho nějak zbavit.


Pořádek je pro blbce, inteligent zvládá chaos!

Offline

 

#5 22. 06. 2011 09:08

da.backer
Příspěvky: 1416
Reputace:   10 
 

Re: Pružnost, pevnost - tah - rozdíl teplot (10) - nové

↑ zdenek1:

Ano již to bude bez problémů, příště se polepším. Děkuji !

Offline

 

#6 25. 06. 2011 12:41 — Editoval da.backer (25. 06. 2011 12:53)

da.backer
Příspěvky: 1416
Reputace:   10 
 

Re: Pružnost, pevnost - tah - rozdíl teplot (10) - nové

Uplně stejný příklad, akorát jiné hodnoty.

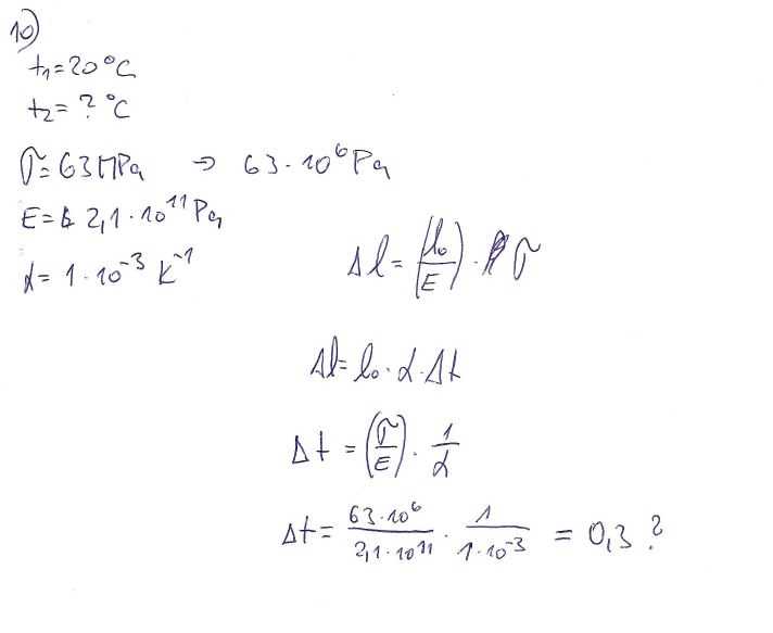
10)    Tyč z oceli upevněná na obou koncích je při teplotě t1=20⁰C v nenapjatém stavu. Určete teplotu tyče t2, při které vzroste napětí v tyči na hodnotu 63MPa. Youngův modul pružnosti v tahu je E=2,1*10^11 Pa a součinitel teplotní délkové roztažnosti  α=1*10^{-3}K^-1

Asi jsem tam špatně dosadil jednotky je to tak ? Děkuji za váš čas ;)

http://forum.matweb.cz/upload3/img/2011-06/98460_10.JPG

Offline

 

#7 25. 06. 2011 12:48

FliegenderZirkus
Příspěvky: 544
Škola: RWTH Aachen
Reputace:   25 
 

Re: Pružnost, pevnost - tah - rozdíl teplot (10) - nové

↑ da.backer:

Takhle velký součinitel délkové teplotní roztažnosti mi u oceli připadá nereálný, zkus překontrolovat zadání.

Offline

 

#8 28. 06. 2011 18:11

da.backer
Příspěvky: 1416
Reputace:   10 
 

Re: Pružnost, pevnost - tah - rozdíl teplot (10) - nové

Opraveno děkuji za upozornění,

Našel by někdo prosím tu chybu? Nevím co tam mám špatně, možná špatně dosazeno. Děkuji.

Offline

 

#9 28. 06. 2011 18:32

zdenek1
Administrátor
Místo: Poděbrady
Příspěvky: 12436
Reputace:   897 
Web
 

Re: Pružnost, pevnost - tah - rozdíl teplot (10) - nové

↑ da.backer:
Dosazeno máš dobře, ale já bych za $\alpha$ dosazoval radši hodnotu z 1. příkladu. Že by se jen tak z ničeho nic zvětšil koeficient 100 krát, to bych nečekal.


Pořádek je pro blbce, inteligent zvládá chaos!

Offline

 

#10 28. 06. 2011 18:42

da.backer
Příspěvky: 1416
Reputace:   10 
 

Re: Pružnost, pevnost - tah - rozdíl teplot (10) - nové

↑ zdenek1:

Pravda :) Děkuji ti pěkně.

Offline

 
  • Hlavní strana
  • » Fyzika
  • » Pružnost, pevnost - tah - rozdíl teplot (10) - nové (TOTO TÉMA JE VYŘEŠENÉ)

Zápatí

Powered by PunBB
© Copyright 2002–2005 Rickard Andersson