Nevíte-li si rady s jakýmkoliv matematickým problémem, toto místo je pro vás jako dělané.
Nástěnka
❗22. 8. 2021 (L) Přecházíme zpět na doménu forum.matweb.cz!
❗04.11.2016 (Jel.) Čtete, prosím, před vložení dotazu, děkuji!
❗23.10.2013 (Jel.) Zkuste před zadáním dotazu použít některý z online-nástrojů, konzultovat použití můžete v sekci CAS.
Nejste přihlášen(a). Přihlásit
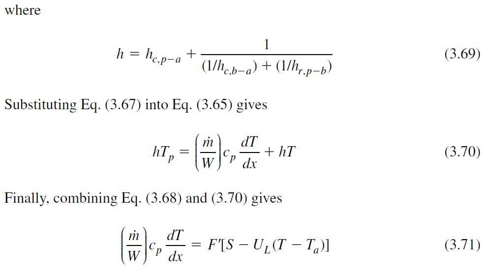
Ahoj !!! K príprave na obhajobu svojej diplomovej práce pripravujem analytický výpočet
zisku sol. vzduchového kolektora od sol. žiarenia.
Prechádzam si daný výpočet v knihe Solar Energy Engineering Processes and systems (Karogirou 2009)
a neviem príť na kĺb jednému upraveniu rovnice, pretože mi vobec nevychádza.. obrázky budú trochu vačšie, aby ste dobre videli :-)
schéma značiek teplot (T) a kolektora:
výpočet: pre úplnosť dávam výpočet od začiatkuk.. avšak možete preskočiť na vetu 3.66.
nerozumiem, ako sa dostala z vety 3.66 veta 3.67 matematicky mi to nesedí... ( po zanedbaní
)
keď s značenie zjednoduším a dosadím :
hr,p-b = hr
hc,b-a = hc
vypadá rov 3.66 jednoduchšie takto:
rozložím a upravím:

Vzorec 3.67 upravím do rovnakého tvaru :



porovnám rovnice s nulou, a mali by sa rovnať,
avšak je tam 
čo mi nedáva zmysel ... má to súvis možno s tým zanedbaním hodnoty
ale neviem ako si to vysvetlím
alebo :
, čo by znamenal prestup tepla radiáciou z zadnej steny do exteriéru, kt. prakticky neexistuje
Viete sa mi k tomu vyjadriť niekto?? v piatok 27.1.2012 mám štátnice, takže tomu potrebujem rozumieť hneď.
za Radu Ďakujem ! :-)
zvyšok výpočtu len tak pre radosť:
Offline
↑ rricki:Zdravím a držím palce nech všetko dobre dopadne ! Nesľubujem odo mňa nejaké výkony, ale myslím aj ostatným, že by dobre padlo v nákrese znázorniť, ktorá je to vlastne tá teplota T_a... rýchlejšie sa zorientujeme...
Offline
↑ zpsi:
zpsi !!! ty si génius !!! toto ma veru nenapadlo !!! :-D
hútal som nad tým celú sobotu.. :-) ako dlho ti trvalo kým si na to prišiel.. ?
:-) napíšem p. Kalogirou pre opravu v ďalšom vydaní !!
Ďakujem ! toto je logické
Pietro: ano Ta je teplota okolí.. T (ambient)
Offline