Nevíte-li si rady s jakýmkoliv matematickým problémem, toto místo je pro vás jako dělané.
Nástěnka
❗22. 8. 2021 (L) Přecházíme zpět na doménu forum.matweb.cz!
❗04.11.2016 (Jel.) Čtete, prosím, před vložení dotazu, děkuji!
❗23.10.2013 (Jel.) Zkuste před zadáním dotazu použít některý z online-nástrojů, konzultovat použití můžete v sekci CAS.
Nejste přihlášen(a). Přihlásit
Stránky: 1
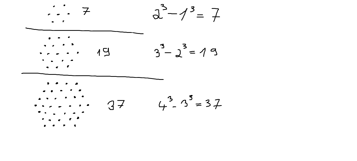
Zdravím. Dnes ráno jsem jel trolejbusem, a ani nevím jak, objevil jsem zajímavou věc, kterou jsem posléze i snadno dokázal.
Ukažte, že šestiúhelníková čísla (viz obrázek) lze vyjádřit jako rozdíl dvou za sebou jdoucích 3. mocnin.
Úloha je velice snadná, je to práce max. na 10 minut. Přesto mi přijde zajímavá, proto jsem se rozhodl ji sem dát. 
Offline
↑ Anonymystik:
Zdravím,
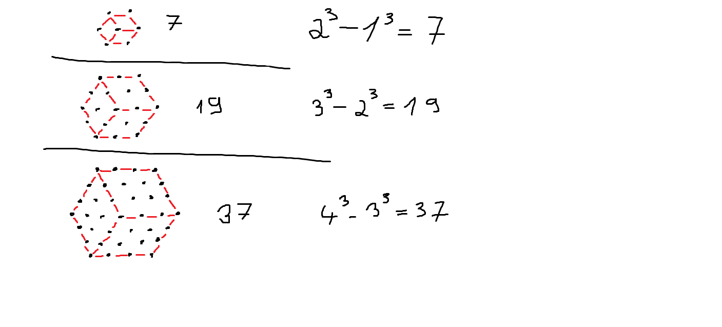
asi nejjednodušeji takto:
Offline
Offline
Offline
Offline
Pozdravujem ↑ Anonymystik:,
Fascinujuca Pythagorovska cesta trolejbusom.
(http://en.wikipedia.org/wiki/Figurate_number#History, zda sa mi ze na tuto temu najdes viac tu L.E. Dickson, History of the Theory of Numbers... ale nemam tuto knihu pri ruke, ak ta to zaujima, tak si to over)
Male kulturne poznamky:
http://trottermath.net/polygonal-numbers/
Co sa tyka slovnika, tvoje cisla sa volaju "stredove polygonalne cisla" (alebo centrovane?)
http://mathworld.wolfram.com/CenteredPo … umber.html
a specialne tie co si znovu objavil sa volaju "hex number" (hex cisla)
http://mathworld.wolfram.com/HexNumber.html
A tu mas definiciu polygonalnych cisiel
http://mathworld.wolfram.com/PolygonalNumber.html
Taketo tematiky, su ozaj zlata bana na pekne problemy... je to ozaj dobre pre niekoho, co ma rad matematiku, sa o taketo temy zaujimat.
Offline
Ahoj,
Edit: skrývám
Offline
Stránky: 1