Matematické Fórum

Nevíte-li si rady s jakýmkoliv matematickým problémem, toto místo je pro vás jako dělané.

Nástěnka
22. 8. 2021 (L) Přecházíme zpět na doménu forum.matweb.cz!
04.11.2016 (Jel.) Čtete, prosím, před vložení dotazu, děkuji!
23.10.2013 (Jel.) Zkuste před zadáním dotazu použít některý z online-nástrojů, konzultovat použití můžete v sekci CAS.

Nejste přihlášen(a). Přihlásit

#26 15. 01. 2014 15:06

gadgetka
Příspěvky: 8562
Škola: Gymnázium Nové Město na Moravě (1985)
Pozice: maminka
Reputace:   462 
 

Re: problém z výrazmi

$\frac{(a-1)(a+1)}{n(n+a)}\cdot \frac{1}{n-1}\cdot \frac{(n+a)-n^3(n+a)}{(1-a)(1+a)}=\frac{(a-1)(a+1)}{n(n+a)}\cdot \frac{1}{n-1}\cdot \frac{(n+a)(1-n^3)}{(1-a)(1+a)}=$
$=\frac{(a-1)(a+1)}{n(n+a)}\cdot \frac{1}{n-1}\cdot \frac{(n+a)(1-n)(1+n+n^2)}{(1-a)(1+a)}$


Nejsem učitelka, proto matematiku neučím, ale přímo ji řeším...

Offline

 

#27 15. 01. 2014 15:45

crank139
Příspěvky: 335
Reputace:   
 

Re: problém z výrazmi

rozmýšľam jak rozmýšľam ale nijako mi to nevýchádza, neviem ako to pokrátiť :(

Offline

 

#28 15. 01. 2014 17:14 — Editoval gadgetka (15. 01. 2014 17:15)

gadgetka
Příspěvky: 8562
Škola: Gymnázium Nové Město na Moravě (1985)
Pozice: maminka
Reputace:   462 
 

Re: problém z výrazmi

V čitateli z (a-1) vytkni mínus a ve jmenovateli z (n-1) též mínus:
$=\frac{(a-1)(a+1)}{n(n+a)}\cdot \frac{1}{n-1}\cdot \frac{(n+a)(1-n)(1+n+n^2)}{(1-a)(1+a)}=\frac{-(1-a)(a+1)(n+a)(1-n)(1+n+n^2)}{-n(n+a)(1-n)(1-a)(1+a)}$


Nejsem učitelka, proto matematiku neučím, ale přímo ji řeším...

Offline

 

#29 15. 01. 2014 19:29

crank139
Příspěvky: 335
Reputace:   
 

Re: problém z výrazmi

//forum.matweb.cz/upload3/img/2014-01/09311_Bez-n%25C3%25A1zvu.jpg
//forum.matweb.cz/upload3/img/2014-01/10492_IMAG0089.jpg
prosim ako mám stým pokračovať? omg ja to asi vzdám :(

Offline

 

#30 15. 01. 2014 20:38

marnes
Příspěvky: 11227
 

Re: problém z výrazmi

↑ crank139:
Chtělo by to sem lépe napsat, ale co vidím, tak první  v tom prvním čitateli nevidím, co je mezi druhou a třetí závorkou - mělo by být mínus a v třetím čitateli mínus b na druhou


Jo. A na začátku vás zdravím.

Offline

 

#31 20. 01. 2014 17:37

crank139
Příspěvky: 335
Reputace:   
 

Re: problém z výrazmi

viete mi niekto vysvetliť túto úpravu? nejako nerozumiem prečo je to tak prevedené, dik
//forum.matweb.cz/upload3/img/2014-01/35827_123.jpg

Offline

 

#32 20. 01. 2014 18:06

janca361
.
Příspěvky: 3284
 

Re: problém z výrazmi

↑ crank139:
$\frac{1}{a-x}-\frac{1}{a-y}+\frac{x}{(a-x)^{2}}-\frac{y}{(a-y)^{2}}=\frac{1}{a-x}\(1+\frac{x}{a-x}\)-\frac{1}{a-y}\(1+\frac{y}{a-y}\)$

Vytknutí
$\frac{1}{a-x}$ z prvního a třetího členu a $\frac{1}{a-y}$ z druhého a čtvrtého členu

Offline

 

#33 20. 01. 2014 19:15

crank139
Příspěvky: 335
Reputace:   
 

Re: problém z výrazmi

jaaj vďaka už rozumiem, a pri tomto prípade nemôžem to jednoducho pokrátiť? alebo to musím roznásobovať? ak áno tak prečo? vďaka
//forum.matweb.cz/upload3/img/2014-01/41736_123.jpg

Offline

 

#34 20. 01. 2014 19:35

janca361
.
Příspěvky: 3284
 

Re: problém z výrazmi

↑ crank139:
Krátit můžeš pouze pokud se jedná o součin. V čitateli není součin, ale rozdíl.

Offline

 

#35 20. 01. 2014 20:51

crank139
Příspěvky: 335
Reputace:   
 

Re: problém z výrazmi

//forum.matweb.cz/upload3/img/2014-01/46786_Bez%2Bn%25C3%25A1zvu.JPG

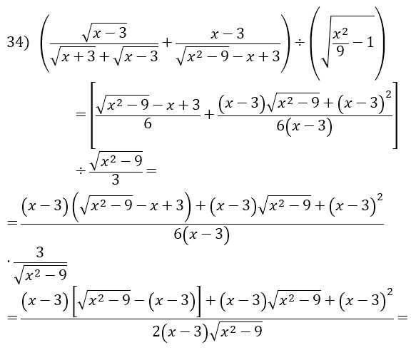
mám ešte jeden problém s ktorým si neviem rady a to:
prečo (červené elipsy v strede) je to rozložené na obr. týmto štýlom a nie: (a+1)*(a+1)+(a-1)*(a-1)
a tie modré elipsy prečo stoho rovno nieje urobený spoločný menovateľ ale sa to najprv rozloží takto ako je na obrázku?
často mám stoho dilemu a často to rozložím zlým spôsobom, podľa čoho by som sa mal riadiť aby som si zvolil tú správnu cestu? vďaka

Offline

 

#36 20. 01. 2014 21:04 — Editoval gadgetka (20. 01. 2014 21:12)

gadgetka
Příspěvky: 8562
Škola: Gymnázium Nové Město na Moravě (1985)
Pozice: maminka
Reputace:   462 
 

Re: problém z výrazmi

Mažu, špatně jsem četla... rozkládá se to podle toho, jak se celkový příklad vyvíjí. Většinou platí, že jmenovatel se nechává v součinovém tvaru a čitatel se rozkládá...
Společný jmenovatel a z čeho? Ty bys to napsal $(a-1)(a^3-1)$, viď? ... a to by ses dostal do zbytečných výpočtů, když výraz $a^3-1$ už obsahuje výraz $(a-1)$, je zbytečné ho "vláčet" dvakrát s sebou. To máš stejné jako kdybys měl ve jmenovateli 2 a 4. Také bys jako společný jmenovatel použil 4 a ne osmičku.


Nejsem učitelka, proto matematiku neučím, ale přímo ji řeším...

Offline

 

#37 20. 01. 2014 23:35

crank139
Příspěvky: 335
Reputace:   
 

Re: problém z výrazmi

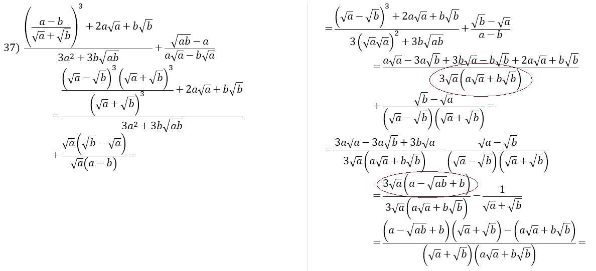
//forum.matweb.cz/upload3/img/2014-01/56624_123456.jpg
nejako nerozumiem tej opérácii v hornej, elipse objasní mi niekto  ako sa dopracovať z predchádzajuceho menovateľa k tomuto?  vďaka

Offline

 

#38 20. 01. 2014 23:58

gadgetka
Příspěvky: 8562
Škola: Gymnázium Nové Město na Moravě (1985)
Pozice: maminka
Reputace:   462 
 

Re: problém z výrazmi

Vytknutím $\sqrt a$


Nejsem učitelka, proto matematiku neučím, ale přímo ji řeším...

Offline

 

#39 21. 01. 2014 00:01 — Editoval gadgetka (21. 01. 2014 00:02)

gadgetka
Příspěvky: 8562
Škola: Gymnázium Nové Město na Moravě (1985)
Pozice: maminka
Reputace:   462 
 

Re: problém z výrazmi

$3(\sqrt a \sqrt a)^2 +3b\sqrt {ab}=3\sqrt a[(\sqrt a)^3+b\sqrt b]=3\sqrt a(a\sqrt a+b\sqrt b)$


Nejsem učitelka, proto matematiku neučím, ale přímo ji řeším...

Offline

 

#40 21. 01. 2014 01:12

crank139
Příspěvky: 335
Reputace:   
 

Re: problém z výrazmi

$\sqrt{a}$ sa vytkla z jednej aj z druhej strany že? prečo sa potom taa odmocnina zmenila na tretiu mocninu? okrem toho tam zmizla ta ttrokla z pravej strany.. čo mi uníká? :(

Offline

 

#41 21. 01. 2014 01:49

gadgetka
Příspěvky: 8562
Škola: Gymnázium Nové Město na Moravě (1985)
Pozice: maminka
Reputace:   462 
 

Re: problém z výrazmi

Protože je trojka v obou členech, vytkla se i trojka. Původně mám
$(\sqrt a\cdot \sqrt a)^2=(\sqrt a\cdot \sqrt a\cdot \sqrt a \cdot \sqrt a)$
Když z nich jednu odmocninu vytknu, kolik mi jich zbyde?


Nejsem učitelka, proto matematiku neučím, ale přímo ji řeším...

Offline

 

#42 21. 01. 2014 15:52

crank139
Příspěvky: 335
Reputace:   
 

Re: problém z výrazmi

jaaj už rozumiem, ináč s výrazmi s odmocninami som sa ešte nestretol a úplne  všetkému nerozumiem, nemáte niekto nejaký članok kde by boli pravidla ktorých by som sa mal držať a pod.? dik

Offline

 

#43 21. 01. 2014 23:54

crank139
Příspěvky: 335
Reputace:   
 

Re: problém z výrazmi

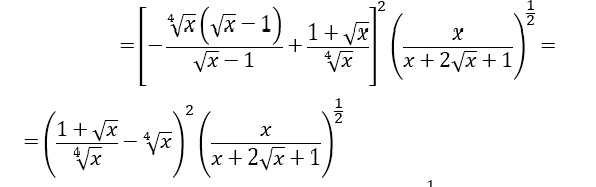
pri tomto príklade by som mal začať usmerňovaním zlomkov, podľa čoho by som mal určiť že by som mal začať usmerňovaním? čo by som si mal všímať? lebo samého od seba by ma to asi nenapadlo. dik
//forum.matweb.cz/upload3/img/2014-01/44864_aaaaaaaaa.jpg

Offline

 

#44 22. 01. 2014 00:01 — Editoval gadgetka (22. 01. 2014 00:01)

gadgetka
Příspěvky: 8562
Škola: Gymnázium Nové Město na Moravě (1985)
Pozice: maminka
Reputace:   462 
 

Re: problém z výrazmi

Když jsou ve jmenovateli odmocniny, nahrává to k tomu, že se zlomek usměrní. Ale ne vždy je to pravidlem. Někdy k tomu usměrnění napomůže třeba součet zlomků nebo se naskýtá vytknutí odmocniny a následné krácení, tak se od usměrnění opouští. Někdy začneš příklad párkrát za sebou znovu od začátku, než si uvědomíš nejlepší řešení.


Nejsem učitelka, proto matematiku neučím, ale přímo ji řeším...

Offline

 

#45 23. 01. 2014 12:30

crank139
Příspěvky: 335
Reputace:   
 

Re: problém z výrazmi

Pri tomto nejako nemôžem prísť nato ako tu mohli zvyznúť tie bočné zatvorky, ako ich mám vykrátiť?
//forum.matweb.cz/upload3/img/2014-01/76608_Bez%2Bn%25C3%25A1zvu.jpg

Offline

 

#46 23. 01. 2014 12:37

gadgetka
Příspěvky: 8562
Škola: Gymnázium Nové Město na Moravě (1985)
Pozice: maminka
Reputace:   462 
 

Re: problém z výrazmi

$(a-b)(a+b)=a^2-b^2$


Nejsem učitelka, proto matematiku neučím, ale přímo ji řeším...

Offline

 

#47 23. 01. 2014 12:41 — Editoval Cheop (23. 01. 2014 12:45)

Cheop
Místo: okres Svitavy
Příspěvky: 8209
Škola: PEF VŠZ Brno (1979)
Pozice: důchodce
Reputace:   366 
 

Re: problém z výrazmi

↑ crank139:
$(\sqrt a-3\sqrt b)(\sqrt a+3\sqrt b)$ - použijeme vzorec:
$(a-b)(a+b)=a^2-b^2$
V tomto případě je:
$a=\sqrt a\\b=3\sqrt b$ tedy:
$(\sqrt a-3\sqrt b)(\sqrt a+3\sqrt b)=(\sqrt a)^2-(3\sqrt b)^2=a-9b$
a celý výraz tak bude:
$\frac{3(\sqrt a-3\sqrt b)(\sqrt a+3\sqrt b)(a-9b)}{(a-9b)^2}=\frac{3(a-9b)^2}{(a-9b)^2}=3$


Nikdo není dokonalý

Offline

 

#48 23. 01. 2014 15:11 — Editoval crank139 (23. 01. 2014 15:11)

crank139
Příspěvky: 335
Reputace:   
 

Re: problém z výrazmi

opäť som mimo z tej ľavej zátvorky, môžete mi to v krátkosti objasniť? dik
//forum.matweb.cz/upload3/img/2014-01/86282_Bez%2Bn%25C3%25A1zvu.jpg

Offline

 

#49 23. 01. 2014 16:25

gadgetka
Příspěvky: 8562
Škola: Gymnázium Nové Město na Moravě (1985)
Pozice: maminka
Reputace:   462 
 

Re: problém z výrazmi

$-\frac{\sqrt[4]{x}(\sqrt x-1)}{\sqrt x-1}=-\sqrt[4]{x}$


Nejsem učitelka, proto matematiku neučím, ale přímo ji řeším...

Offline

 

#50 23. 01. 2014 16:31

crank139
Příspěvky: 335
Reputace:   
 

Re: problém z výrazmi

iba sa horná zátvorka vykrátila z menovateľom? zmiatlo ma to znamianko plus, lenže to patrí k obidvom zlomkom takže to môžem tým pádom vždy pokrátiť v  takomto prípade, chápem to správne?

Offline

 

Zápatí

Powered by PunBB
© Copyright 2002–2005 Rickard Andersson