Nevíte-li si rady s jakýmkoliv matematickým problémem, toto místo je pro vás jako dělané.
Nástěnka
❗22. 8. 2021 (L) Přecházíme zpět na doménu forum.matweb.cz!
❗04.11.2016 (Jel.) Čtete, prosím, před vložení dotazu, děkuji!
❗23.10.2013 (Jel.) Zkuste před zadáním dotazu použít některý z online-nástrojů, konzultovat použití můžete v sekci CAS.
Nejste přihlášen(a). Přihlásit
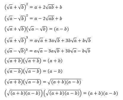
Stejně jako při počítání z čísly, užít pravidla pro počítání s mocninami:
Offline
Nemůžeš, celou rovnici vynásob jmenovatelem a uveď podmínky (ale to je spíš jen úryvek celého příkladu, viď?).
Offline

↑ crank139:
Tento výraz
už nelze moc upravovat nechal bych ho tak jak je.
Offline
Logicky? Takto:
podle vzorečku 
A ty celý ten součin umocňuješ na třetí, čili:![kopírovat do textarea $(a-b)^3=[(\sqrt a-\sqrt b)(\sqrt a +\sqrt b)]^3$](/mathtex/39/3931245476e76c8ba164ead403e17149.gif)
A když umocňuješ součin, umocňuješ jeden člen součinu i druhý člen součinu, stejně jako např.:
Takže dostáváš![kopírovat do textarea $(a-b)^3=[(\sqrt a-\sqrt b)(\sqrt a +\sqrt b)]^3=(\sqrt a-\sqrt b)^3(\sqrt a +\sqrt b)^3$](/mathtex/11/11c68eea7e7fbae49a61e353a20ae2e5.gif)
Offline

a čo toto vytkánanie z prvého zlomku? ta pravá strana mi sedí no ľavá nie, je vytknutá
no vľavo stale ostala odmocnina, a z
ostalo len x, je to akoby z
urobíme po vytknutí x
proste chýba mi tam ta jedna mocnina, ak si to spätne prepočítavam tak mi to vychádza dobre ale ako by som sa k tomu dostal tak neviem:(
vysvetlíš mi ešte toto? vďaka
Offline
Pravá závorka je součet těch členů té závorky. :)
Edit: Jj, myslel jsi ty výrazy v první závorce, došlo mi to a jdu na to... ;)
Offline
↑ crank139: dělit nulou se prý nesmí, proto 
rozdíl čtverců rozložíš
z toho ti to vyjde
Offline
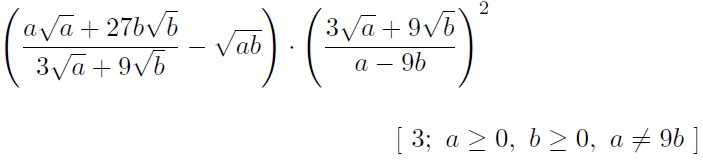
Zdravím, mám problém s určením podmienok pri tomto príklade
ako je možné že a aj b sa môže rovnať nula?
keď do ľavej zátvorky v ľavom zlomku v menovateli dosadím trebars za a nulu dostanem


a nulou sa deliť nedá, čiže stoho mi vychádza že by v podmienkach nula byť nemala, alebo sa mýlim? za odpovede vopred ďakujem
Offline
↑ crank139:
Nesmú byť rovné 0 naraz a tento prípad sa vylučuje v 3. podmienke.
(a môže byť 0, ak b 0 nie je, rovnako aj naopak)
Druhý raz založ novú tému a nevkladaj dotaz do vyriešené témy (pravidlá).
Offline