Nevíte-li si rady s jakýmkoliv matematickým problémem, toto místo je pro vás jako dělané.
Nástěnka
❗22. 8. 2021 (L) Přecházíme zpět na doménu forum.matweb.cz!
❗04.11.2016 (Jel.) Čtete, prosím, před vložení dotazu, děkuji!
❗23.10.2013 (Jel.) Zkuste před zadáním dotazu použít některý z online-nástrojů, konzultovat použití můžete v sekci CAS.
Nejste přihlášen(a). Přihlásit
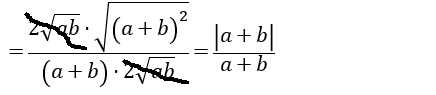
Zdravím, môže mi niekto objasniť prečo v hore v čitateli je hodnota s absolútnou hodnotou? podľa toho čo počítam tak![kopírovat do textarea $\sqrt{(a+b)^{2}}=[{(a+b)^{2}}]^{\frac{1}{2}}$](/mathtex/03/0303e393e3245fdcddb23aa59cbaa9b6.gif)
tak mocniny môžem jednoducho vynásobiť a potom to už len pokrátiť a výsledok je
.dik
Offline

↑ crank139:
pretože po odmocnení dostávaš 2 možnosti a to
, napríklad
a absolútna hodnota to pekne obkrúži:)
Offline

↑ crank139: Nám to zas bolo vysvetlené tak, že zápis plus-mínus niečo nie je celkom matematicky korektný - v tom zmysle, že odmocnina ako funkcia môže k nejakému výrazu priradiť len jednu hodnotu, nie dve. Ale to je v podstate to isté, ako píše ↑ Lukáš Ba-mat-fyz:. :)
Offline

↑ crank139: Podľa mňa je to tým, že tam je konkrétne číslo - odmocnina z 9 je 3. Keby tam bolo x, tak by sa tam motala absolútna hodnota.
Offline
↑ Lukáš Ba-mat-fyz:
To platí jen v komplexním oboru. V reálném je pouze 
Offline
↑ crank139:
Ne. Zkus si dosadit a=1; b=-5 a výsledek máš -1.
Offline
↑ crank139:
Ale tady nemáš
. Tady máš
A to platí jak pro +3, tak pro -3.
Offline