Nevíte-li si rady s jakýmkoliv matematickým problémem, toto místo je pro vás jako dělané.
Nástěnka
❗22. 8. 2021 (L) Přecházíme zpět na doménu forum.matweb.cz!
❗04.11.2016 (Jel.) Čtete, prosím, před vložení dotazu, děkuji!
❗23.10.2013 (Jel.) Zkuste před zadáním dotazu použít některý z online-nástrojů, konzultovat použití můžete v sekci CAS.
Nejste přihlášen(a). Přihlásit

Ahojte ľudkovia, mám k Vám veľkú otázku.
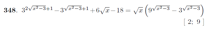
Jeden známy ma poprosil či by som mu nevedel pomôcť s týmto príkladom. Je čerstvý maturant a mal tento príklad v zbierke na prípravu príjmačok z matematiky na VŠ.
Skúšal som to substitúciou, potom kadejakými úpravami a nie som bližšie k výsledku ako keď som s tým začínal...
Budem vďačný za každú pomoc
Offline

↑ gadgetka:áno naozaj. A tak som
použil ako substitúciu, ale toto nikde neviedlo
Offline
Zdravím,
my jsme tuto úlohu diskutovali, ale i v odkazu bylo nějaké zkomolené zadání (1/3 nad 18).
Řešili jsme nakonec tuto rovnici
a ta už byla řešitelná (a až na "délku odmocniny" je shodná se zadáním v 1.příspěvku (odkud je úloha? Děkuji)
Offline
Já jsem ten příklad právě našla v pdf Príklady z matematiky pre uchádzacov o štúdium na TU v Košiciach. Literatura, odkud je čerpáno, je tam široká... ;)
Offline
Zdravím,
↑ Al1: děkuji, v tom není problém s úpravou (viz kolega v odkazu), ale že opakovaně donesou "zkomolené zadání" (i když reakci na zkomolenost zadání nevidí rád kolega Freedy).
↑ The_Founder: je dořešeno? Děkuji.
Offline

↑ jelena: Literatúra odkiaľ to bolo čerpané je MATEMATIKA (Ekonomická univerzita v Bratislave) je to zbierka príkladov na príjmačky. Konkrétne príklad 32
[/img]
Offline

↑ Al1: Ako vidíš, tak v zadaní je aj 1 pod odmocninou a tým pádom to nemôžem počítať tak ako si to napísal. Ale ak by sa to dalo takto počítať, tak by to bolo super, ale nedá sa to...
Offline
↑ The_Founder:
Já vím, to je postup pro příklad 348 tak, jak ho našla kolegyně gadgetka a jak bylo usuzováno v Odkazu od kolegyně Jeleny. Když se tak dívám na scan, zdá se mi, že odmocnítko na levé straně končící až za +1 je nějaké slabé a nastavované. Nebylo dopsané? Když se dívám na ostatní odmocnítka (pravá strana, jiné příklady), vypadají jinak. Jaké nabízí sbírka řešení?
Offline

↑ Al1:Nie nebolo to dopísané, lebo aj ja to mám presne tak v mojej zbierke. Jedna zbierka je z roku 2012 (jeho) a druhá je z 2009 (moja) a zadanie je identické. Je pravda, že v oboch zbierka je tá odmocnina nad +1 slabšia ako inde... Riešenie je ![kopírovat do textarea $[2,9]$](/mathtex/78/78d9658005d7f438bf4b8d1a8b6d3d12.gif)
Offline
↑ The_Founder:
Jenže tyto kořeny právě odpovídají mému řešení a zadání od kolegyně gadgetky. Schválně si zkus dosadit kořeny 2 a 9 do příslušné tvé rovnice. Ani 2,9 není kořenem.
Offline

↑ Al1:Jasne, že sa to rovnať nebude :) Som si istý, že moje zadanie je chybné, lebo riešenie nesedí... Ale sedí na to druhé zadanie.
Ďakujem Vám všetkým za vašu ochotu a čas, ktorý ste venovali tomuto príkladu.
Pomohli ste mi :)
Offline