Nevíte-li si rady s jakýmkoliv matematickým problémem, toto místo je pro vás jako dělané.
Nástěnka
❗22. 8. 2021 (L) Přecházíme zpět na doménu forum.matweb.cz!
❗04.11.2016 (Jel.) Čtete, prosím, před vložení dotazu, děkuji!
❗23.10.2013 (Jel.) Zkuste před zadáním dotazu použít některý z online-nástrojů, konzultovat použití můžete v sekci CAS.
Nejste přihlášen(a). Přihlásit
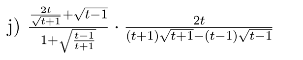
ahojte, neviem si rady s týmto výrazom... nejaké rady ako to zjednodušiť? skúšala som najprv upraviť výrazy na spoločný menovateľ kde som vykrátila odmocniny(t+1) a následne tam hľadať nejaké vzorce, no na nič som neprišla. vďaka
Offline
↑ zdenek1: ďakujem :) tento vzorec nemám zautomatizovaný, takže mi to vôbec nenapadlo :)
Offline