Nevíte-li si rady s jakýmkoliv matematickým problémem, toto místo je pro vás jako dělané.
Nástěnka
❗22. 8. 2021 (L) Přecházíme zpět na doménu forum.matweb.cz!
❗04.11.2016 (Jel.) Čtete, prosím, před vložení dotazu, děkuji!
❗23.10.2013 (Jel.) Zkuste před zadáním dotazu použít některý z online-nástrojů, konzultovat použití můžete v sekci CAS.
Nejste přihlášen(a). Přihlásit
ZDravím,
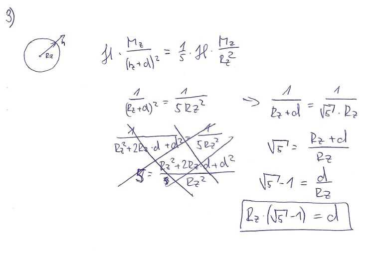
Byl bych velice rád za kontrolu tohoto příkladu. Děkuji.
3) V jaké výšce nad povrchem Země bude intenzita gravitačního pole rovna jedné pětině hodnoty intenzity na jejím povrchu ? (Rz=6378km)
Offline