Matematické Fórum

Nevíte-li si rady s jakýmkoliv matematickým problémem, toto místo je pro vás jako dělané.

Nástěnka
22. 8. 2021 (L) Přecházíme zpět na doménu forum.matweb.cz!
04.11.2016 (Jel.) Čtete, prosím, před vložení dotazu, děkuji!
23.10.2013 (Jel.) Zkuste před zadáním dotazu použít některý z online-nástrojů, konzultovat použití můžete v sekci CAS.

Nejste přihlášen(a). Přihlásit

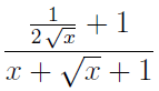
#1 27. 06. 2011 20:11

nie_som_matematik
Příspěvky: 63
Reputace:   
 

Úprava výrazu

Ahoj,

mohol by mi niekto ukazáť postup ako upraviť tento výraz?
http://forum.matweb.cz/upload3/img/2011-06/98291_vyraz.png

Offline

  • (téma jako vyřešené označil(a) BakyX)

#2 27. 06. 2011 22:15

o.neill
Místo: Nymburk
Příspěvky: 327
Škola: FJFI ČVUT
Pozice: student
Reputace:   24 
 

Re: Úprava výrazu

No tak asi bych začal úpravou na společného jmenovatele součtu v čitateli, poté bych odstranil složený zlomek a kouknul bych, co by se s tím dalo dělat dál. No a na jaký asi tak zhruba tvar to chceš upravit?

Offline

 

#3 27. 06. 2011 22:41

nie_som_matematik
Příspěvky: 63
Reputace:   
 

Re: Úprava výrazu

o.neill napsal(a):

No tak asi bych začal úpravou na společného jmenovatele součtu v čitateli, poté bych odstranil složený zlomek a kouknul bych, co by se s tím dalo dělat dál. No a na jaký asi tak zhruba tvar to chceš upravit?

Áno, na spoločného menovateľa by som to dal aj ja, potom odstrániť zložený zlomok. Ale, kedže je v menovateľi odmocnina, netreba to usmerniť?

Offline

 

#4 27. 06. 2011 22:43

standyk
Místo: SR
Příspěvky: 770
Škola: UMB BB
Pozice: študent
Reputace:   55 
 

Re: Úprava výrazu

↑ nie_som_matematik:

Dá sa to prenásobiť vhodnou jednotkou (asi sa to vola usmernenie). V menovateli sa tak dá odstrániť tá odmocnina.

Offline

 

#5 28. 06. 2011 10:27

nie_som_matematik
Příspěvky: 63
Reputace:   
 

Re: Úprava výrazu

standyk napsal(a):

↑ nie_som_matematik:

Dá sa to prenásobiť vhodnou jednotkou (asi sa to vola usmernenie). V menovateli sa tak dá odstrániť tá odmocnina.

Áno, to je ono. Ďakujem obom za radu.

Offline

 

Zápatí

Powered by PunBB
© Copyright 2002–2005 Rickard Andersson