Matematické Fórum

Nevíte-li si rady s jakýmkoliv matematickým problémem, toto místo je pro vás jako dělané.

Nástěnka
22. 8. 2021 (L) Přecházíme zpět na doménu forum.matweb.cz!
04.11.2016 (Jel.) Čtete, prosím, před vložení dotazu, děkuji!
23.10.2013 (Jel.) Zkuste před zadáním dotazu použít některý z online-nástrojů, konzultovat použití můžete v sekci CAS.

Nejste přihlášen(a). Přihlásit

#1 22. 06. 2011 09:24 — Editoval da.backer (26. 06. 2011 15:28)

da.backer
Příspěvky: 1416
Reputace:   10 
 

Venturiho vodoměr - dotaz. (13) - Nové

Zdravím,

Př:

Ve venturiho vodoměru je rozdíl hladin $\Delta h$ ...... Průměr hlavního potrubí je $d1$ ..... a průměr zúžené části je $d2$ ......  Určete kolik litrů vody proteče potrubím za 1s a 1h.


Otázka:

Pokud by tam bylo zadáno rozdíl tlaků tak to vypočítám, ale když je tam jen rozdíl hladin ? Jak na to ? Jen obecně...

Offline

  • (téma jako vyřešené označil(a) da.backer)

#2 22. 06. 2011 10:17

pietro
Příspěvky: 4792
Reputace:   187 
 

Re: Venturiho vodoměr - dotaz. (13) - Nové

↑ da.backer: Ahoj a výraz p=h*ro*g  by nepomohol?

Offline

 

#3 22. 06. 2011 10:21

da.backer
Příspěvky: 1416
Reputace:   10 
 

Re: Venturiho vodoměr - dotaz. (13) - Nové

↑ pietro:

Nejspíš pomohl, to h bude ten rozdíl těch hladin že ano ? a to p bude potom tedy rozdíl tlaků ?

Děkuji.

Offline

 

#4 23. 06. 2011 11:29

pietro
Příspěvky: 4792
Reputace:   187 
 

Re: Venturiho vodoměr - dotaz. (13) - Nové

↑ da.backer: presne jak vravíš  :-)

Offline

 

#5 25. 06. 2011 12:45

da.backer
Příspěvky: 1416
Reputace:   10 
 

Re: Venturiho vodoměr - dotaz. (13) - Nové

Tak jsem ten příklad našel,

mohl by ho někdo zkouknout ?
Lépe řečeno bych potřeboval poradit jak pokračovat.

Jinak za čas t dosazuji v sekundách ? Děkuji.

http://forum.matweb.cz/upload3/img/2011-06/98756_12.JPG

Offline

 

#6 26. 06. 2011 17:35

da.backer
Příspěvky: 1416
Reputace:   10 
 

Re: Venturiho vodoměr - dotaz. (13) - Nové

jedná se o množství protékající kapaliny za hodinu.

Bohužel nevím si rady jak dál pokračovat.

Offline

 

#7 26. 06. 2011 23:29

pietro
Příspěvky: 4792
Reputace:   187 
 

Re: Venturiho vodoměr - dotaz. (13) - Nové

↑ da.backer: Ahoj.... pozri napr. tento postup pls...

Offline

 

#8 27. 06. 2011 16:15 — Editoval da.backer (27. 06. 2011 16:22)

da.backer
Příspěvky: 1416
Reputace:   10 
 

Re: Venturiho vodoměr - dotaz. (13) - Nové

↑ pietro:

Velice děkuji ! I přesto mám pár dotazů.

1) Proč je najednou před delta h mínus ? Jsem myslel že jenom p1 se přehodí na levou stranu.
2) Pokud by byl někdo tak laskav a podíval se na mojí upravu zlomku (vím je to hnus). Jde mi to jestli je to chyba pouze v zaokrouhlování nebo jestli mám chybu jinde.


Děkuji pěkně.


http://forum.matweb.cz/upload3/img/2011-06/84095_V%25C3%25BDst%25C5%2599i%25C5%25BEek13.JPG

Edit: už to asi vidím, já bral g=10 on g=9,81 nicméně prosím i tak o zkouknutí. Děkuji.

Offline

 

#9 27. 06. 2011 16:30

pietro
Příspěvky: 4792
Reputace:   187 
 

Re: Venturiho vodoměr - dotaz. (13) - Nové

↑ da.backer: ahoj, k bodu 1, som len otrocky nahradil p1=p2-delta h*atd a zrusil som v rovnici potom p2......k bodu2 pozri prosim v googli nejake vztahy pre Venturiho trubice....vyskytuje sa tam tusim pomerkvadratov priemerov minus jedna...to by mohol byt najuspornejsi vztah pre Q.

Offline

 

#10 27. 06. 2011 17:48

pietro
Příspěvky: 4792
Reputace:   187 
 

Re: Venturiho vodoměr - dotaz. (13) - Nové

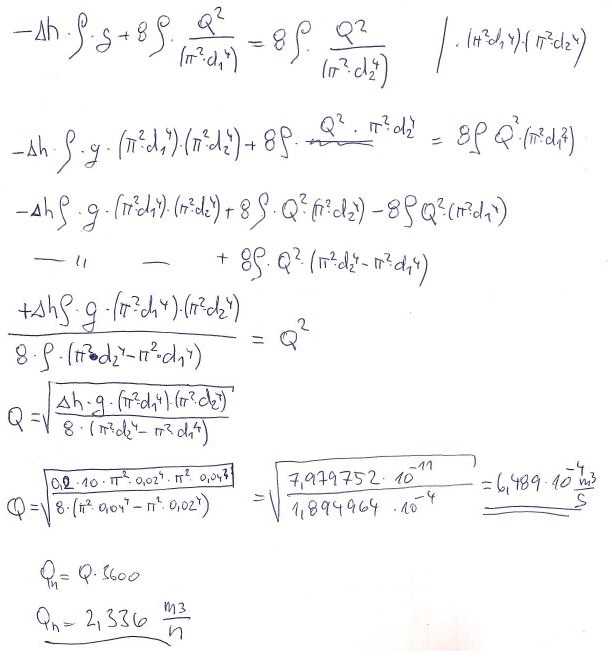
↑ da.backer: Aj toto hádže rovnaké výsledky....

http://forum.matweb.cz/upload3/img/2011-06/89670_nlnllnl.JPG

Offline

 

#11 27. 06. 2011 18:20

zdenek1
Administrátor
Místo: Poděbrady
Příspěvky: 12436
Reputace:   897 
Web
 

Re: Venturiho vodoměr - dotaz. (13) - Nové

Z Bernoulliho rce:
$\frac12\varrho v_1^2+h_1\varrho g=\frac12\varrho v_2^2+h_2\varrho g$
$v_2^2-v_1^2=2(h_1-h_2)g=2\Delta hg$           (1)
z rovnice kontinuity:
$S_1v_1=S_2v_2\ \Rightarrow\ v_2=v_1\frac{S_1}{S_2}=v_1\left(\frac{d_1}{d_2}\right)^2$
dosadíš do (1)
$v_1^2\left(\frac{d_1}{d_2}\right)^4-v_1^2=2\Delta hg$
$v_1=d_2^2\sqrt{\frac{2\Delta hg}{d_1^4-d_2^4}}$

pro průtok
$Q=\frac Vt=S_1v_1\ \Rightarrow\ V=S_1v_1t=\pi\frac{d_1^2d_2^2}4\sqrt{\frac{2\Delta hg}{d_1^4-d_2^4}}t$


Pořádek je pro blbce, inteligent zvládá chaos!

Offline

 

#12 27. 06. 2011 20:08

pietro
Příspěvky: 4792
Reputace:   187 
 

Re: Venturiho vodoměr - dotaz. (13) - Nové

↑ zdenek1:
Tak toto je to prave...orechove...dakujem pekne !

Offline

 

#13 28. 06. 2011 12:26

da.backer
Příspěvky: 1416
Reputace:   10 
 

Re: Venturiho vodoměr - dotaz. (13) - Nové

↑ zdenek1:

Velice děkuji !!!!

Jěště jedna technická. d1 je vždy ten větší průřez je to tak ?

Offline

 

#14 28. 06. 2011 17:58

zdenek1
Administrátor
Místo: Poděbrady
Příspěvky: 12436
Reputace:   897 
Web
 

Re: Venturiho vodoměr - dotaz. (13) - Nové

↑ da.backer:
Neřekl bych "vždy", ale v tak jak jsem to počítal, tak ano.


Pořádek je pro blbce, inteligent zvládá chaos!

Offline

 

#15 28. 06. 2011 18:06

da.backer
Příspěvky: 1416
Reputace:   10 
 

Re: Venturiho vodoměr - dotaz. (13) - Nové

↑ zdenek1:

A myslíš, že může být považováno v testu jako chyba pokud to budu počítat jako ty ale bude zadáno d1 a d2 a to d1 bude menší.  Viz ↑ da.backer:


Na výsledek to samozdřejmě vliv nemá.

Offline

 

Zápatí

Powered by PunBB
© Copyright 2002–2005 Rickard Andersson