Nevíte-li si rady s jakýmkoliv matematickým problémem, toto místo je pro vás jako dělané.
Nástěnka
❗22. 8. 2021 (L) Přecházíme zpět na doménu forum.matweb.cz!
❗04.11.2016 (Jel.) Čtete, prosím, před vložení dotazu, děkuji!
❗23.10.2013 (Jel.) Zkuste před zadáním dotazu použít některý z online-nástrojů, konzultovat použití můžete v sekci CAS.
Nejste přihlášen(a). Přihlásit
Stránky: 1
Zdravím,
potřeboval bych zkouknout tento příklad.
a) mám asi správně
b) nevím.
Děkuji !
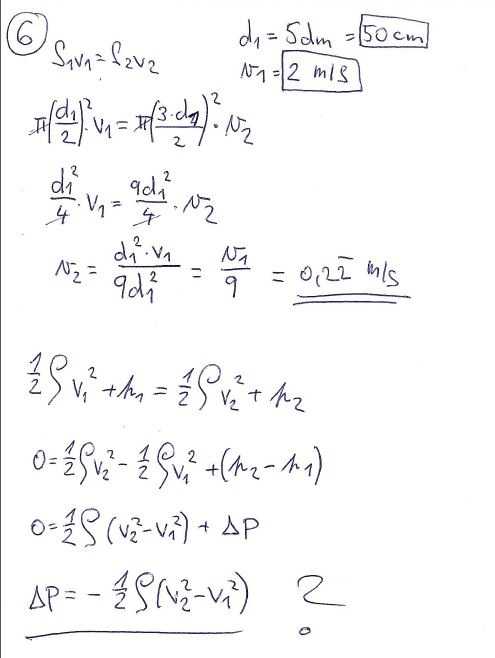
6) Rychlost kapaliny v potrubí o průměru d1=5dm je v1=2m/s.
a) urči rychlost v2, jestliže se průměr potrubí zvětší 3x
b) vypočítej rozdíl tlaku v potrubí
Offline
↑ da.backer:
Je to dobře. Ještě bych dosadil z bodu a)
a zapsal
Offline
Stránky: 1