Nevíte-li si rady s jakýmkoliv matematickým problémem, toto místo je pro vás jako dělané.
Nástěnka
❗22. 8. 2021 (L) Přecházíme zpět na doménu forum.matweb.cz!
❗04.11.2016 (Jel.) Čtete, prosím, před vložení dotazu, děkuji!
❗23.10.2013 (Jel.) Zkuste před zadáním dotazu použít některý z online-nástrojů, konzultovat použití můžete v sekci CAS.
Nejste přihlášen(a). Přihlásit

Ahoj,
trocha sa špáram v tej štatistike a natrafil som na takéto zadanie:
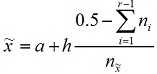
Chcem vypočítať medián výdavkov. V tomto prípade, keď mám počet domácnosti zadaných v percentách, hľadám kumulatívnu početnosť, ktorej hodnota je viac ako 50% (v tomto prípade 41,9 + 28,4 = 70,3%) a potom to dosadím do takéhoto vzorca:
Je to správny vzorec alebo nie?
Keby mám to rozdelenie početností nie v percentách, potom do toho vzorca pridám do čitateľa ešte r/2, pravda?
Vopred ďakujem.
Offline
Zdravím,
doplň, prosím, buď odkaz na vzorec (odkud je?) nebo alespoň popis, co označuji písmena. Děkuji.
Kumulativní početnost pro nalezení intervalu pro medián používáš dobře - druhý interval budeme považovat za mediánový.
Pokud údaje nebudou v procentech (absolutní počty domácností), tak buď najdeš interval, ve kterém (kumulativně) je více, než polovina všech dat, nebo vypočteš četnost v procentech, kumulativní četnost a postup bude stejný, jak v uvedeném příkladu.
Offline

Ahoj jelena,
ďakujem za záujem o pomoc. Uvediem ďalší príklad, v ktorom bude aj vzorec, aj vysvetlenie, čo jednotlivé písmenká znamenajú.
Zadanie úlohy:
Dva závody tabakového priemyslu používali na výrobu cigariet stroje rovnakého typu, na ktorých sa dosahovali v skúmanom období hodinové výkony uvedené v nasledujúcej tabuľke.
Úloha
Posúďte úroveň hodinovej produkcie v 1. a 2. Závode pomocou
a) Aritmetického priemeru
b) Modusu
c) Mediánu
Výsledky uvedené v knihe:
a) 1. Závod: 2600; 2. Závod: 2110
b) 1. Závod: 2333 2. Závod: 1763
c) 1. Závod: 2557 2. Závod: 2009
Problém je s výsledkom pre medián. Pretože sa jedná o relatívne rozdelenie početností, používam na výpočet tento vzorec: 
Po dosadení do vzorca a následnom výpočte mám odlišné výsledky, konkrétne medián 1. závodu je 2545,36 a medián 2. závodu je 2000.
Prosím, skúste to tiež niekto prepočítať. Neviem, či je výsledok, ktorý mám ja správny alebo nie. Ostatné hodnoty po výpočte sú rovnaké ako výsledky v knihe.
Offline
↑ nie_som_matematik:
také pozdrav, vzorec jsem překontrolovala (i odvozením přes lineární interpolaci) je v pořádku. Ovšem při použití dat ze zadání mi vychází stejné výsledky jako Tobě.
Podle dat 2. závodu 50 % končí přesně druhým intervalem, tedy bych odvodila, že snad používají nějaký jiný vzorec, ale opravdu nevím - který?
Snad si toho všimne úžasný statistik a ekonometr a osvětlí, děkuji, kolego Stýve.
Je to sbírka příkladů (lze přesně název?) nebo obsahuje také i teorii - tedy vzorec je ze stejné knihy? Jsou jiná zadání na výpočet mediánu? Děkuji.
Offline

↑ jelena:
Ahoj jelena,
je zo Zbierka príkladov zo štatistických metód. Možno, že je tam tlačová chyba, to sa niekedy pri toľkých číslach stane. Aspoň dúfam, že je to tak, lebo by ma to štvalo, že neviem prísť na riešenie.
Našťastie, potreboval som si precvičovať príklady na skúšku zo štatistiky, ktorú som už úspešne absolvoval, takže je všetko v poriadku. :)
EDIT: ten vzorec, ktorý je v úplne prvom príspevku, nie je platný, pretože tam má byť fi (relatívne početnosti) a nie ni (absolútne početnosti).
Offline
↑ nie_som_matematik:
Děkuji za zprávu a gratuluji ke zkoušce :-)
Také bych to viděla na nějakou chybu ve výsledku. Vzorec z 1. příspěvku jsem si "přetransformovala" na relativní početnost, protože od 0,5 by se dalo těžko něco (co je vyjádřeno v absolutních číslech) odečíst.
Pro absolutní četnosti median 
a - dolní hranice mediánového intervalu,
h - šíře intervalu,
n_m - absolutní četnost mediánového intervalu,
n - absolutní četnost v souboru,
n_(m-1) - kumulativní četnost jednotek intervalů, předcházejících mediánovému.
Snad jsem tomu vzorci příliš nebližila.
Offline