Matematické Fórum

Nevíte-li si rady s jakýmkoliv matematickým problémem, toto místo je pro vás jako dělané.

Nástěnka
22. 8. 2021 (L) Přecházíme zpět na doménu forum.matweb.cz!
04.11.2016 (Jel.) Čtete, prosím, před vložení dotazu, děkuji!
23.10.2013 (Jel.) Zkuste před zadáním dotazu použít některý z online-nástrojů, konzultovat použití můžete v sekci CAS.

Nejste přihlášen(a). Přihlásit

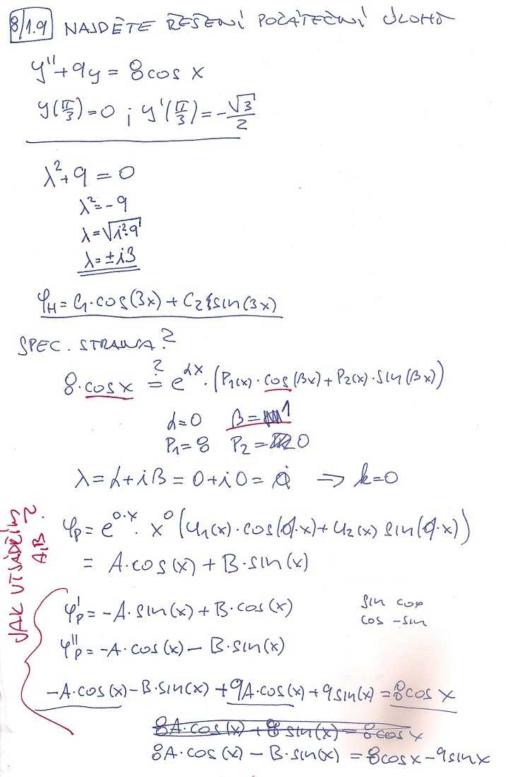
#1 02. 11. 2011 18:22

da.backer
Příspěvky: 1416
Reputace:   10 
 

Počáteční úloha - vyjádření A,B

Zdravím,

Potřeboval bych poradit jak vyjídřit A,B na konci stránky. Asi tam něco dělám špatně.

Velice děkuji za každou radu. Přeji hezký večer.

http://forum.matweb.cz/upload3/img/2011-11/54540_02.jpg

Offline

  • (téma jako vyřešené označil(a) da.backer)

Zápatí

Powered by PunBB
© Copyright 2002–2005 Rickard Andersson