Nevíte-li si rady s jakýmkoliv matematickým problémem, toto místo je pro vás jako dělané.
Nástěnka
❗22. 8. 2021 (L) Přecházíme zpět na doménu forum.matweb.cz!
❗04.11.2016 (Jel.) Čtete, prosím, před vložení dotazu, děkuji!
❗23.10.2013 (Jel.) Zkuste před zadáním dotazu použít některý z online-nástrojů, konzultovat použití můžete v sekci CAS.
Nejste přihlášen(a). Přihlásit
Stránky: 1
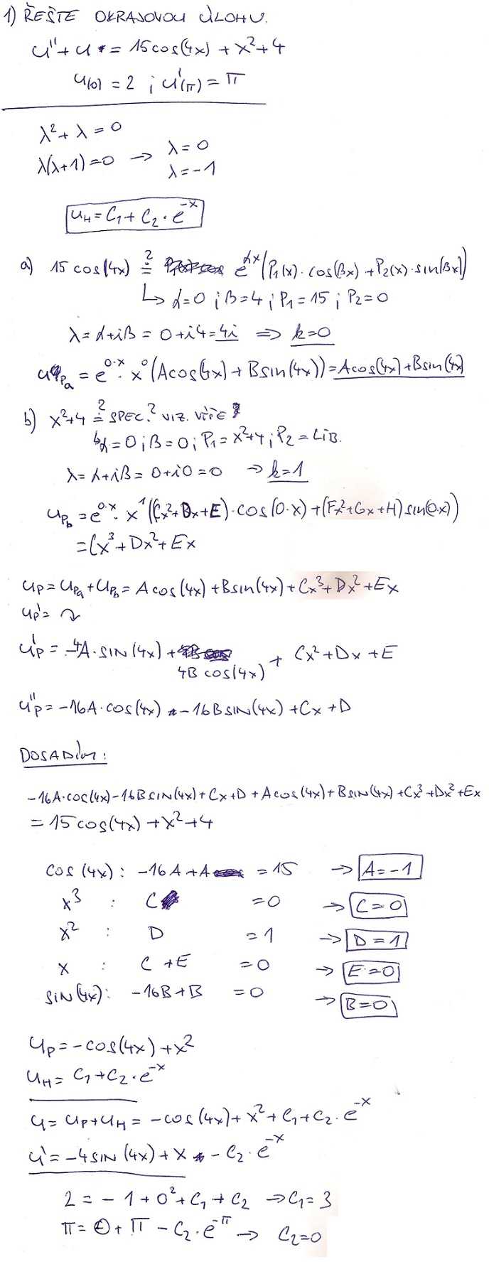
Na začátku je špatně rovnice pro fundamentální systém. Máš tam lineární člen místo absolutního.
Zkoušel jsi prostě jen dosadit řešení do původní rovnice? Je to nejlepší způsob v případě jednoznačného řešení.
A
Offline
↑ Andrejka3:
Kde to mám špatně ? Vidím zatím že jsem pouze špatně derivoval, odpoledne se na to podívám ;)
zatím děkuji.
Offline
Promiň, že si neprocházím celou úlohu, ale zdá se mi špatně fundamentální systém. Zkus dosadit. Mě to nevychází nula, ale
.
To by mělo být proto, že rovnice pro fundamentální systém je
Když dosadím Tvé řešení do zadání, vychází mi to o jedna víc - o konstantu... Každopádně rovnost tam nemám.
Mimochodem jde vidět, že by to měly být goniometrické fce, protože je tam součet fce a její druhé derivace, tj. něco jako Laplace.
Offline
Stránky: 1