Matematické Fórum

Nevíte-li si rady s jakýmkoliv matematickým problémem, toto místo je pro vás jako dělané.

Nástěnka
22. 8. 2021 (L) Přecházíme zpět na doménu forum.matweb.cz!
04.11.2016 (Jel.) Čtete, prosím, před vložení dotazu, děkuji!
23.10.2013 (Jel.) Zkuste před zadáním dotazu použít některý z online-nástrojů, konzultovat použití můžete v sekci CAS.

Nejste přihlášen(a). Přihlásit

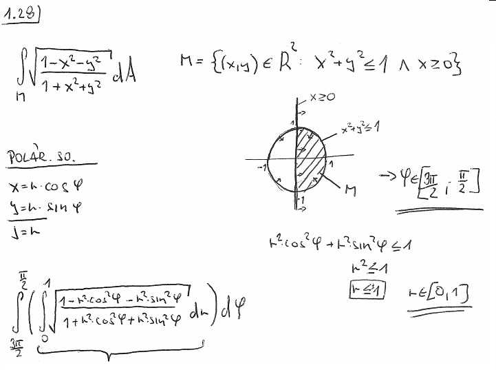
#1 08. 01. 2012 15:24

da.backer
Příspěvky: 1416
Reputace:   10 
 

Dvojnásobný integrál

Zdravím,

Pokud by se tu někdo našel tak laskav a pomohl mi, nevím si rady s tímto integrálem.

Velice děkuji za každou radu :)

http://forum.matweb.cz/upload3/img/2012-01/32552_skenov%25C3%25A1n%25C3%25AD0002.jpg

Offline

  • (téma jako vyřešené označil(a) da.backer)

#2 08. 01. 2012 15:36 — Editoval Prochycz (08. 01. 2012 15:37)

Prochycz
Příspěvky: 183
Reputace:   
 

Re: Dvojnásobný integrál

Zdravim,
v čitateli můžeš vytknout $-r^2$
$1-r^2\cdot cos^2(\varphi)-r^2sin^2(\varphi)=1-r^2(cos^2(\varphi)+sin^2(\varphi))=1-r^2$
u jmenovatele $r^2$

Offline

 

#3 08. 01. 2012 15:44

da.backer
Příspěvky: 1416
Reputace:   10 
 

Re: Dvojnásobný integrál

↑ Prochycz:

Ajo :) díky, ještě jsem tam zapoměl přidat Jacobián.

Offline

 

#4 08. 01. 2012 16:50

da.backer
Příspěvky: 1416
Reputace:   10 
 

Re: Dvojnásobný integrál

↑ Prochycz:

Co dál ? Opět si nevím rady.

$\int_{0}^{1}\sqrt{{\frac{1-r^{2}}{1+r^{2}}}}\cdot r\cdot dr$

Offline

 

#5 08. 01. 2012 17:11 — Editoval Prochycz (08. 01. 2012 17:20)

Prochycz
Příspěvky: 183
Reputace:   
 

Re: Dvojnásobný integrál

↑ da.backer:
Na tenhle integrál jsem krátkej, snad ti poradí někdo jinej. Můžeš zkusit kouknout na wolfram. Je to tam řešený přes několik substitucí. Snad to pomůže.

Offline

 

#6 10. 01. 2012 17:25

da.backer
Příspěvky: 1416
Reputace:   10 
 

Re: Dvojnásobný integrál

Nepomohl by někdo ? Toto mi asi nepomůže  http://www.wolframalpha.com/input/?i=in … 29*r*dr%29

Offline

 

#7 10. 01. 2012 18:25

Alkac
Příspěvky: 181
Reputace:   10 
 

Re: Dvojnásobný integrál

↑ da.backer:
Rozklikni si tam show steps a mas tam nejake substituce...

Na prvni pohled muzes substitupvat r^2 = t a pak to rozsirit odmocninou z (1-x) nebo (1+x) a nejak to rozdelit na dva zlomky

Offline

 

Zápatí

Powered by PunBB
© Copyright 2002–2005 Rickard Andersson