Matematické Fórum

Nevíte-li si rady s jakýmkoliv matematickým problémem, toto místo je pro vás jako dělané.

Nástěnka
22. 8. 2021 (L) Přecházíme zpět na doménu forum.matweb.cz!
04.11.2016 (Jel.) Čtete, prosím, před vložení dotazu, děkuji!
23.10.2013 (Jel.) Zkuste před zadáním dotazu použít některý z online-nástrojů, konzultovat použití můžete v sekci CAS.

Nejste přihlášen(a). Přihlásit

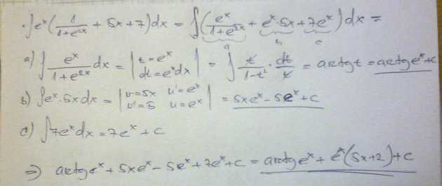
#1 02. 05. 2012 01:54

Asqwer
Příspěvky: 458
Reputace:   
 

integral

zdravim, nemohli byste mi to prosim nekdo zkontrolovat, bohuzel neznam vysledek, takze nevim jestli je to dobre nebo ne.
http://forum.matweb.cz/upload3/img/2012-05/16475_Obraz0063.jpg


Učený hlupák je větší hlupák než hlupák nevzdělaný.

Offline

 

#2 02. 05. 2012 02:12

jardofpr
Příspěvky: 1241
Reputace:   88 
 

Re: integral

ahoj ↑ Asqwer:

funkciu ktorú si našiel stačí zderivovať, ak sa jej derivácia rovná funkcii pod integrálom,výsledok je správny

to je najlepšia kontrola ak aj nemáš výsledok

Offline

 

Zápatí

Powered by PunBB
© Copyright 2002–2005 Rickard Andersson