Matematické Fórum

Nevíte-li si rady s jakýmkoliv matematickým problémem, toto místo je pro vás jako dělané.

Nástěnka
22. 8. 2021 (L) Přecházíme zpět na doménu forum.matweb.cz!
04.11.2016 (Jel.) Čtete, prosím, před vložení dotazu, děkuji!
23.10.2013 (Jel.) Zkuste před zadáním dotazu použít některý z online-nástrojů, konzultovat použití můžete v sekci CAS.

Nejste přihlášen(a). Přihlásit

#1 04. 05. 2012 02:04

Sydnney
Příspěvky: 101
Reputace:   
 

kinetika-rychlostní rovnice

Zdravím,
nevím si rady s tímto příkladem:
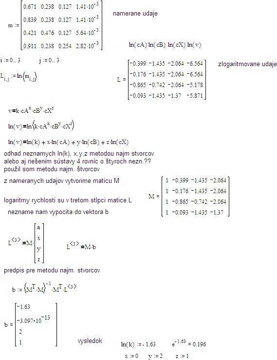
Následující data o počáteční koncentraci byla získána pro reakci:
A + 2B = 3C + 4D
A                          B                         X                     -d(a)/(dt)
0,671                    0,238                   0,127                  1,41*10-3
0,839                    0,238                   0,127                  1,41*10-3
0,421                    0,476                   0,127                  5,64*10-3
0,911                    0,238                   0,127                  2,82*10-3

Napište rychlostní rovnici pro uvedenou reakci:
Vím, že rychlostní rovnice, by pro tuto reakci měla být ve tvaru: v = k*[A] ^x*[b]^y*[X]^z
to "x" jsem vypočítala podle změny koncentrace A:
q(c)=0,911/0,421=2,16
a poté změnu rychlosti:
q(v)=2,82/5,64=0,5
poté jsem to zlogaritmovala:
=log(qv)/log(qc)=-1,.. z toho jsem usoudila, že x=0 (protože mi to vyšlo záporně)

pro "y" jsem zase vypočítala změnu koncentrace a změnu rychlosti:
g(c)=0,476/0,238=2
q(v)=5,64/1,41=4
z toho jsem rovnou viděla, že to bude kvadratická závislost,  tedy, že y=2

pro "z" už mi ale můj postup nefunguje..
q(c)=0,254/0,127=2
q(v)=2,82/5,64=0,5
poté jsem to zase zlogaritmovala: log(qv)/log(qc) = -1 a protože mi to vyšlo záporně, napsala bych, že z=0, ale to je podle výsledku špatně.

Celkově tomu moc nerozumím, proto bych byla moc vděčna, kdyby se mi to pokusil někdo vysvětlit.
Děkuji

Offline

  • (téma jako vyřešené označil(a) Sydnney)

#2 04. 05. 2012 10:22

pietro
Příspěvky: 4792
Reputace:   187 
 

Re: kinetika-rychlostní rovnice

↑ Sydnney: Ahoj, poprosím Ťa o vysvetlenie čo to je v texte malé iks x a veľké X, nezaberám zatiaľ ako keby to boli dve reakcie?

Pekné počítanie o kinetike aj tu
http://cheminfo.chemi.muni.cz/ianua/Zdena/kinetika.pdf

Offline

 

#3 04. 05. 2012 16:05

Sydnney
Příspěvky: 101
Reputace:   
 

Re: kinetika-rychlostní rovnice

↑ pietro:
Ahoj,
omlouvám se, jsem si tu neznámou blbě označila. To malé x je moje označení pro neznámou mocninu. A to velké X bylo v zadání.
Děkuji za odkaz, přečtu si to, snad to konečně začnu chápat :)

Offline

 

#4 05. 05. 2012 01:40

pietro
Příspěvky: 4792
Reputace:   187 
 

Re: kinetika-rychlostní rovnice

↑ Sydnney:ahoj, ak máš nejaké doplnkové info posuň sem... nie je to x stupeň konverzie?... ak by bol výsledok aj z toho sa dá "napasovať" postup...

Offline

 

#5 05. 05. 2012 14:17

Sydnney
Příspěvky: 101
Reputace:   
 

Re: kinetika-rychlostní rovnice

↑ pietro:
ahoj,
přiznám se, že co znamená to velké X vůbec netuším. Je udáno v jednotkách mol*dm^-3, stejně tak jako A, nebo B.
Výsledek by měl být takto: v= k * [A]^0 * [b]^2 * [X]^1.
Ještě koukám, že jsem se  v přepisu té tabulky spletla, ale v řešení jsem postupovala podle toho správného údaje.
Moc se omlouvám, proto ještě jednou tu tabulku raději přepíši.

A                          B                         X                     -d(a)/(dt)
0,671                    0,238                   0,127                  1,41*10-3
0,839                    0,238                   0,127                  1,41*10-3
0,421                    0,476                   0,127                  5,64*10-3
0,911                    0,238                   0,254                  2,82*10-3

kurzívou jsem zvýraznila to, kde jsem to špatně přepsala.
děkuji

Offline

 

#6 05. 05. 2012 16:25

jelena
Jelena
Místo: Opava
Příspěvky: 30020
Škola: MITHT (abs. 1986)
Pozice: plním požadavky ostatních
Reputace:   100 
 

Re: kinetika-rychlostní rovnice

Zdravím v tématu,

podrobně jsem nezkoumala, ale dotaz mám - určitě patří tato rovnice k zadání:

A + 2B = 3C + 4D

Všechno v hranatých závorkách jsou molární koncentrace (tedy i to velké X). K postupu - zkus se podívat na "Metodu počátečních reakčních rychlostí".

Upřesní ještě prosím reakci, děkuji.

Offline

 

#7 05. 05. 2012 17:13

pietro
Příspěvky: 4792
Reputace:   187 
 

Re: kinetika-rychlostní rovnice

↑ jelena: Pozdravujem :-)

v exceli som otestoval rýchlostnú konštantu zvoleného modelu

v= k * [A]^0 * [b]^2 * [X]^1

a vyšla...konštantná,

(pozn. to vyzerá, že koncentrácia látky A nemá vplyv na rýchlosť jej úbytku)

http://forum.matweb.cz/upload3/img/2012-05/30662_lbl.-.JPG

Offline

 

#8 05. 05. 2012 18:01

pietro
Příspěvky: 4792
Reputace:   187 
 

Re: kinetika-rychlostní rovnice

Ahojte,  skúsil som takto s tým pohnúť....


http://forum.matweb.cz/upload3/img/2012-05/33695_kkkkkj.JPG

Offline

 

#9 05. 05. 2012 20:34

pietro
Příspěvky: 4792
Reputace:   187 
 

Re: kinetika-rychlostní rovnice

dopĺňam ešte o mierne iný postup..

http://forum.matweb.cz/upload3/img/2012-05/42866_lojbnolnlo.JPG

Offline

 

#10 10. 05. 2012 00:21

Sydnney
Příspěvky: 101
Reputace:   
 

Re: kinetika-rychlostní rovnice

↑ pietro:
zdravím,
druhý způsob řešení se pro mě jeví jako lepší, i tak mi ale dlouho trvalo, než jsem to pochopila :)
Moc děkuji

Offline

 

Zápatí

Powered by PunBB
© Copyright 2002–2005 Rickard Andersson