Nevíte-li si rady s jakýmkoliv matematickým problémem, toto místo je pro vás jako dělané.
Nástěnka
❗22. 8. 2021 (L) Přecházíme zpět na doménu forum.matweb.cz!
❗04.11.2016 (Jel.) Čtete, prosím, před vložení dotazu, děkuji!
❗23.10.2013 (Jel.) Zkuste před zadáním dotazu použít některý z online-nástrojů, konzultovat použití můžete v sekci CAS.
Nejste přihlášen(a). Přihlásit
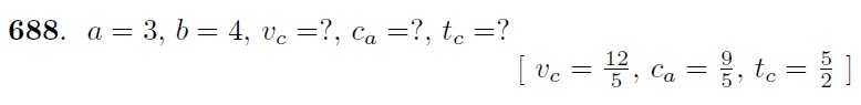
Zdravím, pri tomto príklade som cez Pythagorovu vetu vypočítal že c=5, potom som išiel vypočítať
usúdil som že to najskôr bude výška na stranu c a vyšlo mi že výška sa rovná
no takúto hodnotu vo výsledkoch nevidím, normálne som postupoval ďalej podľa Pythagorovej vety, kde som postupoval zle? čo odomňa chcú v úlohe po b a c? v úlohe je zadané že sa jedná o pravouhlý trojuholník. dik
Offline
Použij Euklidovu větu o výšce. Pythagorovou větou dopočítáš stranu c. Pak podle Euklidovy věty platí:
dopočítáš jednoduše
a 
Offline