Matematické Fórum

Nevíte-li si rady s jakýmkoliv matematickým problémem, toto místo je pro vás jako dělané.

Nástěnka
22. 8. 2021 (L) Přecházíme zpět na doménu forum.matweb.cz!
04.11.2016 (Jel.) Čtete, prosím, před vložení dotazu, děkuji!
23.10.2013 (Jel.) Zkuste před zadáním dotazu použít některý z online-nástrojů, konzultovat použití můžete v sekci CAS.

Nejste přihlášen(a). Přihlásit

#1 14. 04. 2014 17:42

crank139
Příspěvky: 335
Reputace:   
 

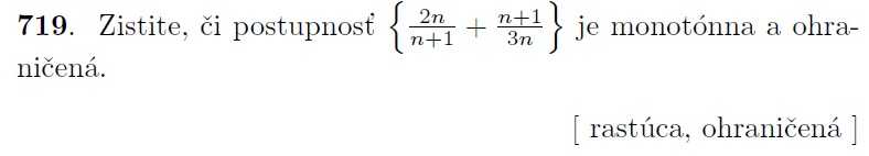
Postupnosti

Zdravím, pri tejto úlohe som postupoval takto že som do tejto rovnice postupne dosadzoval  1,2,3,4.. a vyšlo mi že postupnosť je rastúca, bol môj postup správny? ak áno ako mám ešte k tomu dokázať že je postupnosť ohraničenaá? dik

//forum.matweb.cz/upload3/img/2014-04/90031_Bez%2Bn%25C3%25A1zvu.jpg

Offline

  • (téma jako vyřešené označil(a) crank139)

#2 14. 04. 2014 18:01

gadgetka
Příspěvky: 8562
Škola: Gymnázium Nové Město na Moravě (1985)
Pozice: maminka
Reputace:   462 
 

Re: Postupnosti

Můžeš na to jít i např. přes definici rostoucí či klesající posloupnosti: Když pro všechna $n\in N$ platí: $a_{n+1}-a_n>0$, pak je posloupnost rostoucí.

K ohraničenosti si přečti př. 5.1.6. na str. 156: http://www.studopory.vsb.cz/studijnimat … itola5.pdf


Nejsem učitelka, proto matematiku neučím, ale přímo ji řeším...

Offline

 

#3 14. 04. 2014 18:05 — Editoval janca361 (14. 04. 2014 18:06)

janca361
.
Příspěvky: 3284
 

Re: Postupnosti

↑ crank139:
Důkaz by měl být obecně přes definici, protože kdyby si dosazoval všechna $n \in \mathbb{N}$, tak ještě teď nepíšeš.
Na druhou stranu - pokud tam není dokažte, tak je asi postup dosazování hodnot není špatně, ale zase nevíš, jak se posloupnost může chovat, takže můžeš dojít ke špatnému závěru... Takže doporučuji postupovat přes definici...

Offline

 

Zápatí

Powered by PunBB
© Copyright 2002–2005 Rickard Andersson