Matematické Fórum

Nevíte-li si rady s jakýmkoliv matematickým problémem, toto místo je pro vás jako dělané.

Nástěnka
22. 8. 2021 (L) Přecházíme zpět na doménu forum.matweb.cz!
04.11.2016 (Jel.) Čtete, prosím, před vložení dotazu, děkuji!
23.10.2013 (Jel.) Zkuste před zadáním dotazu použít některý z online-nástrojů, konzultovat použití můžete v sekci CAS.

Nejste přihlášen(a). Přihlásit

#1 21. 11. 2015 14:38 — Editoval dash (21. 11. 2015 14:47)

dash
Zelenáč
Příspěvky: 14
Reputace:   
 

[z^n] notácia

Zdravím.
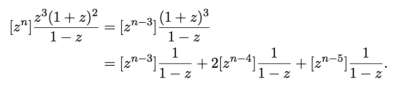
Viete mi proadiť, čo znamená notácia $[z^n]$ v tomto príklade? Ide o triedu ekvivalencie, alebo niečo iné? Nemáme to v materiáloch zadefinované, tak si nie som úplne istý. Malo by sa to nejak týkať generujúcich funkcií.

//forum.matweb.cz/upload3/img/2015-11/13069_Screen%2BShot%2B2015-11-22%2Bat%2B14.35.42.png

Z iného príkladu:
//forum.matweb.cz/upload3/img/2015-11/13598_Screen%2BShot%2B2015-11-22%2Bat%2B14.46.21.png

Offline

 

#2 21. 11. 2015 16:19

jelena
Jelena
Místo: Opava
Příspěvky: 30020
Škola: MITHT (abs. 1986)
Pozice: plním požadavky ostatních
Reputace:   100 
 

Re: [z^n] notácia

Zdravím,

zkus se podívat, zda pro výpočty nemáte zavedou Z-transformaci (řekla bych, že označení může být k tomu a k týpu úloh náleží). Je to tak? Děkuji.

Offline

 

#3 21. 11. 2015 17:08

dash
Zelenáč
Příspěvky: 14
Reputace:   
 

Re: [z^n] notácia

Z-tranformáciu zavedenú nemáme.

Toto sú materiály - http://www.dmg.tuwien.ac.at/gittenberge … ath13W.pdf
($[z^n]$ je použité na strane 60).

Offline

 

#4 21. 11. 2015 22:35

jelena
Jelena
Místo: Opava
Příspěvky: 30020
Škola: MITHT (abs. 1986)
Pozice: plním požadavky ostatních
Reputace:   100 
 

Re: [z^n] notácia

↑ dash:

děkuji, v materiálu, co odkazuješ toto značení se objevuje poprvé snad jen na str. 57, potom v cvičení, co jsi ukázal (na str. 60) a na str. 64-65 a snad to odpovídá tomuto významu Příklady. Ale ještě jsem nepřišla na to, jak toto značení použit pro úlohu 62).

Offline

 

Zápatí

Powered by PunBB
© Copyright 2002–2005 Rickard Andersson