Matematické Fórum

Nevíte-li si rady s jakýmkoliv matematickým problémem, toto místo je pro vás jako dělané.

Nástěnka
22. 8. 2021 (L) Přecházíme zpět na doménu forum.matweb.cz!
04.11.2016 (Jel.) Čtete, prosím, před vložení dotazu, děkuji!
23.10.2013 (Jel.) Zkuste před zadáním dotazu použít některý z online-nástrojů, konzultovat použití můžete v sekci CAS.

Nejste přihlášen(a). Přihlásit

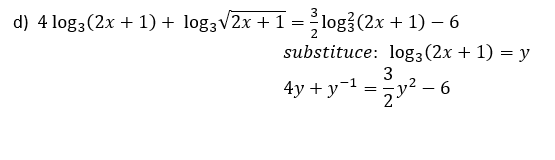
#1 27. 10. 2016 20:18

Enemy
Příspěvky: 34
Škola: SŠ
Pozice: Student
Reputace:   
 

Logaritmické rovnice

Zdravím, prosil bych někoho schopného o pomoc s těmito příklady. Jsou to příklady ze sbírky Petáková. Předem děkuji za jakoukoliv pomoc!

//forum.matweb.cz/upload3/img/2016-10/90107_V%25C3%25BDst%25C5%2599i%25C5%25BEek1.PNG

Offline

  • (téma jako vyřešené označil(a) mikl3)

#2 27. 10. 2016 20:38 Příspěvek uživatele mikl3 byl skryt uživatelem mikl3. Důvod: Musel bych na pc.

#3 27. 10. 2016 20:38 — Editoval misaH (27. 10. 2016 20:41)

misaH
Příspěvky: 13467
 

Re: Logaritmické rovnice

Ahoj.

Ak ti môžem poradiť, poriadne si naštuduj pravidlá počítania s logaritmami, prípadne aj s mocninami.

Prečo myslíš, že tá $\sqrt {( 2x+1)}$ je $y^{-1} $ ?

Offline

 

#4 27. 10. 2016 20:41

mikl3
Příspěvky: 2635
Škola: FS ČVUT (12-16, TZSI, Bc.)
Pozice: Studuji magisterske
Reputace:   78 
 

Re: Logaritmické rovnice

↑ Enemy:
To co jsem psal a pak skryl - ten logaritmus, kde argument je odmocnen - zkus si odmocninu prepsat na racionalni exponent a pak kouknout do vzorce, zda to tam nevidis, jak ti radi kolega

Offline

 

#5 27. 10. 2016 21:32

Enemy
Příspěvky: 34
Škola: SŠ
Pozice: Student
Reputace:   
 

Re: Logaritmické rovnice

Mockrát děkuji za pomoc, mám vše spočítané! :)

Offline

 

Zápatí

Powered by PunBB
© Copyright 2002–2005 Rickard Andersson