Nevíte-li si rady s jakýmkoliv matematickým problémem, toto místo je pro vás jako dělané.
Nástěnka
❗22. 8. 2021 (L) Přecházíme zpět na doménu forum.matweb.cz!
❗04.11.2016 (Jel.) Čtete, prosím, před vložení dotazu, děkuji!
❗23.10.2013 (Jel.) Zkuste před zadáním dotazu použít některý z online-nástrojů, konzultovat použití můžete v sekci CAS.
Nejste přihlášen(a). Přihlásit
Stránky: 1
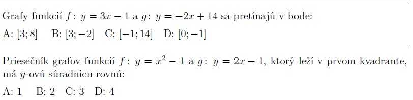
To by mali byť posledné dve typy úloh s ktorými si neviem rady, čo sa týka prvej, existuje nejaký spôsob ako zistiť kde sa pretínajú bez toho aby som zakresľoval graf? ak áno ako to mám urobiť?
čo sa týka druhej úlohy tak priesečník myslia to isté ako v prvej úlohe takže taktiež si neviem stym rady, prosím o radu. Vďaka
Offline
1) Když mají dvě přímky společný, bod, tak jsou si v tom bodu rovny:


Souřadnici y dopočítáš dosazením x-ové do libovolné přímky z těch dvou.
Offline
Stejně tak i v druhém příkladu:




Dosadíš do rovnice paraboly nebo přímky a pak zauvažuješ, který z těch bodů leží v 1. kvadrantu.
Offline
↑ Henrieta:
Založ si vlastnú tému v správnej kategórii a nezabudni tam napísať aj znenie príkladu, tvoj pokus o výpočet a kde si sa zasekla.
Offline
Stránky: 1