Nevíte-li si rady s jakýmkoliv matematickým problémem, toto místo je pro vás jako dělané.
Nástěnka
❗22. 8. 2021 (L) Přecházíme zpět na doménu forum.matweb.cz!
❗04.11.2016 (Jel.) Čtete, prosím, před vložení dotazu, děkuji!
❗23.10.2013 (Jel.) Zkuste před zadáním dotazu použít některý z online-nástrojů, konzultovat použití můžete v sekci CAS.
Nejste přihlášen(a). Přihlásit

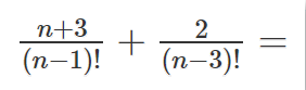
Zdravím všechny,
prosím o radu, zasekl jsem se a nevím jak to vypočítat.
Díky
Offline
↑ Planimetryispain:
a to je aj spoločný menovateľ obidvoch zlomkov
Offline