Matematické Fórum

Nevíte-li si rady s jakýmkoliv matematickým problémem, toto místo je pro vás jako dělané.

Nástěnka
22. 8. 2021 (L) Přecházíme zpět na doménu forum.matweb.cz!
04.11.2016 (Jel.) Čtete, prosím, před vložení dotazu, děkuji!
23.10.2013 (Jel.) Zkuste před zadáním dotazu použít některý z online-nástrojů, konzultovat použití můžete v sekci CAS.

Nejste přihlášen(a). Přihlásit

#1 26. 08. 2011 12:02 — Editoval found (26. 08. 2011 16:17)

found
Místo: Plzeň
Příspěvky: 392
Škola: TF MFF UK
Pozice: student
Reputace:   22 
Web
 

Kužel opsaný kouli

Tuhle úlohu jsem zde na fóru nenašel a mám ji docela rád, tak snad nevadí, že ji předám sem (pomoci s ní nepotřebuji, takže do sekce "střední škola" jsem ji dávat nechtěl).


Což je to možné! Tento stařičký světec ještě ani nezaslechl v svém lese, že bůh je mrtev!

Offline

 

#2 26. 08. 2011 16:44 — Editoval Honzc (27. 08. 2011 09:45)

Honzc
Příspěvky: 4641
Reputace:   248 
 

Re: Kužel opsaný kouli

↑ found:
Jestli jsem se nespletl pak


Offline

 

#3 27. 08. 2011 21:43

found
Místo: Plzeň
Příspěvky: 392
Škola: TF MFF UK
Pozice: student
Reputace:   22 
Web
 

Re: Kužel opsaný kouli

↑ Honzc:

Abych se přiznal, nevidím základ té hypotézy, ze které vycházíš (hóld má hloupost) :-)

Příklad je ale primárně určený na řešení pomocí derivací, které zabere přibližně o čtyři pětiny méně řádek. :-)


Což je to možné! Tento stařičký světec ještě ani nezaslechl v svém lese, že bůh je mrtev!

Offline

 

#4 28. 08. 2011 08:00

Honzc
Příspěvky: 4641
Reputace:   248 
 

Re: Kužel opsaný kouli

↑ found:
Teď nerozumím zase já tobě. Já to přeci řeším pomocí derivací. Samotná derivace je na třech krátkých řádcích, tak nevím jak ji chceš ještě zkrátit. (o 4/5)
Já jsem jenom chtěl říci, že na té úloze není zajímavé počítat nějaké konkrétní číslo pro nějaký konkrétní poloměr koule, ale zajímavé je právě to, že objem minimálního kužele opsaného kouli je dvojnásobek objemu koule.
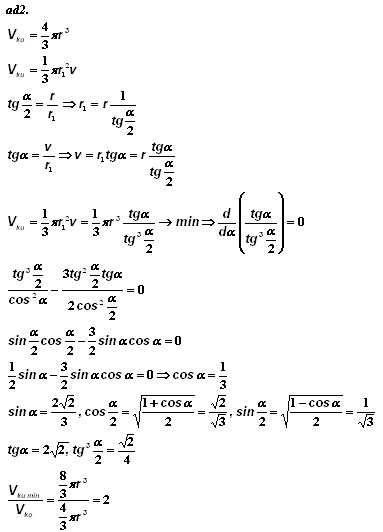
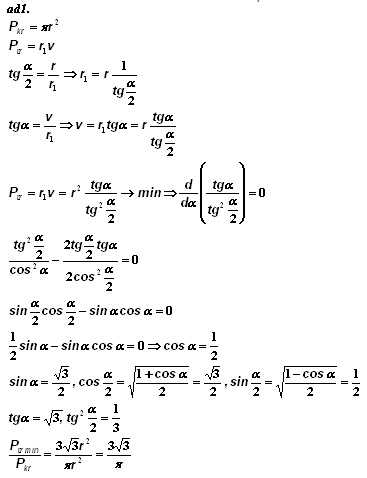
Dále jsem si dovolil odvodit poměr obsahů kruhu a jemu opsanému trojúhelníku a také upozornit na jeden zajímavý (podle mě) fakt, že u trojúhelníku a kruhu je úhel takový, že jeho kosinus je 1/2 a u kuželu - koule je úhel površky kuželu takový, že jeho kosinus je 1/3. Nic víc nic míň za tím není potřeba hledat.

Offline

 

#5 28. 08. 2011 10:15

found
Místo: Plzeň
Příspěvky: 392
Škola: TF MFF UK
Pozice: student
Reputace:   22 
Web
 

Re: Kužel opsaný kouli

↑ Honzc:↑ Honzc:

A jo, už jsem si všiml, nějak mi to pořád asi hlava přeskakovala (tu řádku). Tak uvidíme, jak se s tím poperou ostatní. :-)


Což je to možné! Tento stařičký světec ještě ani nezaslechl v svém lese, že bůh je mrtev!

Offline

 

#6 23. 01. 2012 12:40 Příspěvek uživatele real estate training B byl skryt uživatelem jelena. Důvod: spam

Zápatí

Powered by PunBB
© Copyright 2002–2005 Rickard Andersson