Nevíte-li si rady s jakýmkoliv matematickým problémem, toto místo je pro vás jako dělané.
Nástěnka
❗22. 8. 2021 (L) Přecházíme zpět na doménu forum.matweb.cz!
❗04.11.2016 (Jel.) Čtete, prosím, před vložení dotazu, děkuji!
❗23.10.2013 (Jel.) Zkuste před zadáním dotazu použít některý z online-nástrojů, konzultovat použití můžete v sekci CAS.
Nejste přihlášen(a). Přihlásit
Zdravím,
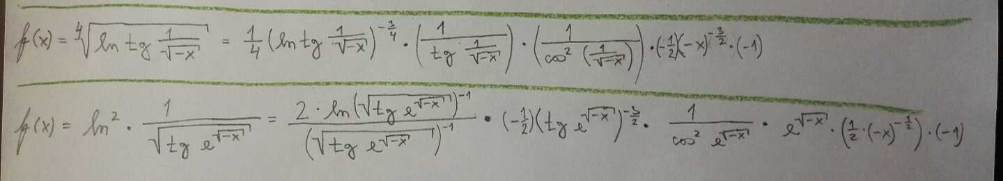
postup derivování součinu a složených funkcí dodržuješ. Pokud jsem nic nepřehlédla, tak skoro všechno v pořádku až na konec: derivace
, derivuješ po úpravě
, oprav, prosím Tvůj závěr derivování (jelikož jsi derivoval jako podíl, tak oprav
(e je konstanta), potom ještě
].
Když vidím takto kreativně vytvořenou funkci k derivování, tak se obvykle ptám, jak moc jste zlobili, že vám něco takového dali? Ale MAW (nebo WA) by kontrolu zvládnout měl také - zkoušel jsi? Děkuji.
Offline
Děkuji pěkně za odpovědi .
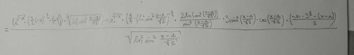
Už to vidím, vůbec jsem si neuvědomil že
se derivuje jako konstanta.
Offline
↑ ektomorf:
Dobrý den.
Chybu jsem nenašel.
Offline