Matematické Fórum

Nevíte-li si rady s jakýmkoliv matematickým problémem, toto místo je pro vás jako dělané.

Nástěnka
22. 8. 2021 (L) Přecházíme zpět na doménu forum.matweb.cz!
04.11.2016 (Jel.) Čtete, prosím, před vložení dotazu, děkuji!
23.10.2013 (Jel.) Zkuste před zadáním dotazu použít některý z online-nástrojů, konzultovat použití můžete v sekci CAS.

Nejste přihlášen(a). Přihlásit

#1 04. 03. 2018 16:46

baglarous
Příspěvky: 179
Reputace:   
 

Limita funkce, příklad.

Mám tu ješ
tě jeden příklad, u kterého nevím, jak postupovat.


//forum.matweb.cz/upload3/img/2018-03/78364_V%25C3%25BDst%25C5%2599i%25C5%25BEek.PNG

Offline

 

#2 04. 03. 2018 17:01

thatsmis
Příspěvky: 47
Reputace:   
 

Re: Limita funkce, příklad.

$x * \lim_{x\to0}\frac{\cos 3x}{\sin 3x}$ prenásobíš $\frac{\frac{1}{3x}}{\frac{1}{3x}}$

dostávaš $\lim_{x\to0}\frac{\frac{\cos 3x}{3x}}{\frac{\sin 3x}{3x}}$

$\frac{\lim_{x\to0}\frac{\cos 3x}{3x}}{\lim_{x\to0}\frac{\sin 3x}{3x}}$

$\frac{\lim_{x\to0}\frac{\cos 3x}{3x}}{3}$

cosinus môžeš napísať ako $\frac{1}{\sin 3x}$

$\frac{\lim_{x\to0}\frac{3x}{\sin 3x}}{3}$

$\frac{3}{3}=1$

Offline

 

#3 04. 03. 2018 17:14

baglarous
Příspěvky: 179
Reputace:   
 

Re: Limita funkce, příklad.

Příklad jsem už vypočítal, ale měl vyjít 1/3, ne 1.

Offline

 

#4 04. 03. 2018 17:15

baglarous
Příspěvky: 179
Reputace:   
 

Re: Limita funkce, příklad.

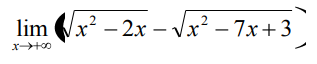
Ještě tu mám jeden příklad, na který už dlouho nemohu přijít.

//forum.matweb.cz/upload3/img/2018-03/80114_V%25C3%25BDst%25C5%2599i%25C5%25BEek.PNG

Offline

 

#5 04. 03. 2018 17:21

laszky
Příspěvky: 2407
Škola: MFF UK, FJFI CVUT
Reputace:   202 
 

Re: Limita funkce, příklad.

Ten prvni priklad se proste rozepise jako $\frac{3x}{\sin(3x)}\,\frac{\cos(3x)}{3}$, druhej priklad prenasobis chytrou jednickou $\frac{\sqrt{x^2-2x}+\sqrt{x^2-7x+3}}{\sqrt{x^2-2x}+\sqrt{x^2-7x+3}}$.

Offline

 

#6 04. 03. 2018 17:25

vanok
Příspěvky: 14610
Reputace:   742 
 

Re: Limita funkce, příklad.

Ahoj ↑ baglarous:,
Vynasob citatela a menovatela ( ten je tu 1) vyrazom $(\sqrt {x^2-2x}+\sqrt {x^2-7x+3}$ ...


Srdecne Vanok
The respect, the politeness are essential qualities...and also the willingness.
Do not judge the other one.
Ak odpovedam na nejaku otazku. MOJ PRINCIP NIE JE DAT ODPOVED ALE UKAZAT AKO SA K ODPOVEDI DOSTAT

Offline

 

#7 04. 03. 2018 17:36

baglarous
Příspěvky: 179
Reputace:   
 

Re: Limita funkce, příklad.

vyšlo mi toto, jak mám pokračovat? Btw. zkoušel jsem počítat dál, ale vyšlo mi zadání příkladu :)

//forum.matweb.cz/upload3/img/2018-03/81376_V%25C3%25BDst%25C5%2599i%25C5%25BEek.PNG

Offline

 

#8 04. 03. 2018 17:37

baglarous
Příspěvky: 179
Reputace:   
 

Re: Limita funkce, příklad.

ta svislá čára je kurzor myši

Offline

 

#9 04. 03. 2018 17:45

vanok
Příspěvky: 14610
Reputace:   742 
 

Re: Limita funkce, příklad.

↑ baglarous:
Pozor vyraz $(5x-3)$ je v zatvorke .


Srdecne Vanok
The respect, the politeness are essential qualities...and also the willingness.
Do not judge the other one.
Ak odpovedam na nejaku otazku. MOJ PRINCIP NIE JE DAT ODPOVED ALE UKAZAT AKO SA K ODPOVEDI DOSTAT

Offline

 

#10 04. 03. 2018 18:00

baglarous
Příspěvky: 179
Reputace:   
 

Re: Limita funkce, příklad.

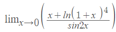
tak mám tu ještě jeden poslední příklad.

//forum.matweb.cz/upload3/img/2018-03/82853_V%25C3%25BDst%25C5%2599i%25C5%25BEek.PNG

Offline

 

#11 04. 03. 2018 18:08

laszky
Příspěvky: 2407
Škola: MFF UK, FJFI CVUT
Reputace:   202 
 

Re: Limita funkce, příklad.

$\frac{x+\ln(1+x)^4}{\sin(2x)} = \left(\frac{1}{2}+2\frac{\ln(1+x)}{x}\right)\frac{2x}{\sin(2x)}$

Offline

 

#12 04. 03. 2018 18:15

vanok
Příspěvky: 14610
Reputace:   742 
 

Re: Limita funkce, příklad.

↑ baglarous:
Podobna methoda .... nasob z  x/ x.  ( Ak vies zakladne tabulkove limity).  Inac mozes pouzit HP.


Srdecne Vanok
The respect, the politeness are essential qualities...and also the willingness.
Do not judge the other one.
Ak odpovedam na nejaku otazku. MOJ PRINCIP NIE JE DAT ODPOVED ALE UKAZAT AKO SA K ODPOVEDI DOSTAT

Offline

 

#13 04. 03. 2018 18:19

vanok
Příspěvky: 14610
Reputace:   742 
 

Re: Limita funkce, příklad.

Pozdravujem ↑ laszky: .
Pisem z mobilu a moje pisania kym prejdu to trva az 15 min.   
Ak chces mozem vymazat moje pripevky.


Srdecne Vanok
The respect, the politeness are essential qualities...and also the willingness.
Do not judge the other one.
Ak odpovedam na nejaku otazku. MOJ PRINCIP NIE JE DAT ODPOVED ALE UKAZAT AKO SA K ODPOVEDI DOSTAT

Offline

 

#14 04. 03. 2018 18:20

laszky
Příspěvky: 2407
Škola: MFF UK, FJFI CVUT
Reputace:   202 
 

Re: Limita funkce, příklad.

↑ vanok:

Ahoj, nemusis.

Offline

 

#15 04. 03. 2018 19:37

Peter_CSR
Místo: Kekistan
Příspěvky: 417
Pozice: Meme
Reputace:   
 

Re: Limita funkce, příklad.

thatsmis napsal(a):

$\frac{\lim_{x\to0}\frac{\cos 3x}{3x}}{3}$

cosinus môžeš napísať ako $\frac{1}{\sin 3x}$

$\frac{\lim_{x\to0}\frac{3x}{\sin 3x}}{3}$

Ahoj, tu som neporozumel temuto kroku. Mohol by mi prosím niekto vysvetliť ako je "cosinus môžeš napísať ako $\frac{1}{\sin 3x}$  "?


2 + 2 is 4 minus 1 thats 3 quick mafs.

Offline

 

#16 04. 03. 2018 20:07

Jj
Příspěvky: 8769
Škola: VŠB, absolv. r. 1970
Pozice: Důchodce
Reputace:   599 
 

Re: Limita funkce, příklad.

↑ Peter_CSR:

Mohol by mi prosím niekto vysvetliť ako je  "cosinus môžeš napísať ako $\frac{1}{\sin 3x}$  "?

To těžko, protože je to špatně.


Pokud se tedy nemýlím.

Offline

 

#17 04. 03. 2018 20:42

Peter_CSR
Místo: Kekistan
Příspěvky: 417
Pozice: Meme
Reputace:   
 

Re: Limita funkce, příklad.

↑ Jj:

rozumiem, takže mi to vychádza 1/3...


2 + 2 is 4 minus 1 thats 3 quick mafs.

Offline

 

#18 04. 03. 2018 20:48

Jj
Příspěvky: 8769
Škola: VŠB, absolv. r. 1970
Pozice: Důchodce
Reputace:   599 
 

Re: Limita funkce, příklad.

↑ Peter_CSR:

Ano, třeba jak to rozepsal kolega ↑ laszky:.


Pokud se tedy nemýlím.

Offline

 

Zápatí

Powered by PunBB
© Copyright 2002–2005 Rickard Andersson